新浪新闻

国家天文台采用国产时序数据库 TDengine 重构PB级数据架构

关注

随着天文观测技术进入PB级时代,传统的"检索—下载—分析"科研模式已逼近极限。近日,国家天文科学数据中心(NADC)宣布采用国产时序数据库TDengine构建新一代数据存储与分析架构,成功支撑千万级天体、数百亿光子事例的高频时序数据管理,并在爱因斯坦探针卫星(EP)的暂现源搜寻中实现重要科学发现。

天文数据爆发式增长,传统架构遭遇瓶颈

预计到2030年底,来自空间与地面天文观测的数据总量将达到约500PB,远超人类历史上累计获取的数据规模。时域天文作为未来天文学的重要分支,正在产生持续、高频、大规模的时间序列数据。

"问题不再是'有没有数据',而是'数据该怎么用'。"国家天文科学数据中心相关负责人表示,传统关系型数据库在面对高基数、高频次的时域观测数据时,暴露出压缩效率低、查询延迟大、难以支持降采样等分析需求等明显不足。

为什么选择 TDengine ?

经过技术评估,NADC最终选用TDengine 时序数据库作为核心存储引擎,主要基于以下考量:

1. 高基数场景下的性能优势

时域天文数据具有典型的"高基数+高频次"特征——每个天体被高频、多次重复观测,标签(如天体编号、坐标)取值数量极大。TDengine 时序数据库(Time Series Database)通过"超级表"数据模型和VNode分布式存储机制,有效避免了标签爆炸对性能的影响,相比传统方案更适合大规模时域天文数据管理。

2. 近数据计算,减少网络传输

TDengine支持在数据库服务端直接完成时间窗口划分、降采样及多维聚合分析,将核心处理逻辑下沉至数据层执行,仅返回处理后的轻量级结果。这一能力显著减轻了PB级数据传输对网络带宽的压力。

3. 海量子表的高效管理

针对"一个天体一张表"带来的千万级甚至亿级子表管理挑战,TDengine的超级表机制允许通过标签对子表进行多维度分类和过滤,在保持高并发写入与高压缩效率的同时,实现跨天体、跨天区的灵活聚合分析。

实际应用成效

多时标光变曲线生成工具(LCGCT)

NADC基于TDengine构建了多时标光变曲线生成工具,采用"一个仪器对一个源的观测存储一张表"的方案,实现高达75%的数据压缩率。依托TDengine的窗口计算能力,用户可在数据端按需生成任意时标的光变曲线,无需传输完整原始数据集。

高能光子数据库(XPhotonBank)

针对爱因斯坦探针卫星(EP)每年约200亿个光子事例的高频数据,NADC采用"一个天区一张表"的存储策略,将天空划分为数千万细粒度网格。基于TDengine的多维度聚合能力,系统可在服务端实时聚合跨子表数据,实现长期光子级光变曲线的秒级响应。

科学发现成果

基于该架构,NADC已取得重要科学发现:

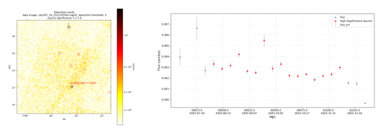
- EP251020a:通过光子数据库的早期预警能力,成功捕获潮汐瓦解事件的早期辐射阶段,显著延长了观测时间基线

- EP J012607.7+121047:利用叠加分析从数据中挖掘出低于标准探测极限的微弱暂现源,完整记录其从2025年8月至12月的爆发过程

关于国家天文科学数据中心

国家天文科学数据中心是由科技部、财政部认定的国家科技资源共享服务平台,负责汇交管理、整编、集成天文学科领域数据,建设天文数据资源体系,促进天文学科领域科学数据的深度应用,致力于成为引领天文学进入数据密集型科学发现新时代的重要资源平台。

关于 TDengine

TDengine是涛思数据研发的开源时序数据库,专为物联网、工业互联网、能源、金融等场景设计,具有高性能、分布式、云原生等特点。目前全球部署实例超过100万,GitHub Star数超24k。

(本文基于国家天文科学数据中心与TDengine的合作实践整理发布)

(来源:资讯中国)

责任编辑:雷晓燕 SV010

加载中...