常笑医学网统计教程|PASS实现单组设计均数的样本量估计
单组设计均数的样本含量估计
在新药或新医疗器械注册临床试验中,往往推荐使用RCT设计,为药物/器械注册上市提供关键证据。但是在某些情况下(通常是外科医疗器械方面)RCT设计会存在一定问题,如对照组干预难以获取,或者是从可行性的角度,某些受试者不愿意接受对照组处理,甚至因为某些器械已经在临床上广泛使用了,而新的器械仅仅是市场的补充,从结构和理化性质上并没有大变化,这时从伦理的角度也不应纳入更多的研究对象来开展“试验”。上述的诸多情况都导致非随机对照设计甚至单臂设计在临床器械试验中应用越来越多。
对来自同一总体的一个随机样本,在一个特定条件下观测其定量指标的数值。欲对定量指标的均值作假设检验,必须要知道公认的标准值或总体平均值,此类设计叫做单组设计。在试验过程中仅设立试验组而不设立对照组,通过连续纳入符合要求的病例系列并进行相关干预来评估干预效果,将获得的干预效果和目标值(从大量历史数据库,如文献资料或历史记录的数据中得到一系列可被广泛认可的性能标准,这些标准可以作为说明药物/器械的安全性或有效性的替代指标或临床终点)之间进行比较,来评价试验干预是否达到了预设的目标。
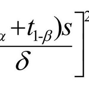
其样本含量的计算公式主要有两种情况:
单侧:
双侧:
公式中n代表单组设计所需的样本含量,S代表标准公认的总体标准差,δ表示具有临床意义的差值,t1-α/2为t分布概率密度曲线对应的第t1-α/2分位数(其他类同)。
本节将主要讲解采用PASS15软件实现单组设计均值比较时的样本含量估计方法。
例:
已知某社区50~70岁男性平均收缩压为158mmHg,标准差为18mmHg,某药物干预后,如果平均收缩压降低10mmHg,则认为有临床意义,规定α=0.05,检验效能(1-β)=0.9,则需要多少病例(双侧检验)?
例:
本例是个单组设计的调查研究,其主要结局指标是收缩压变化情况,是连续型变量,本例主要确定了五个参数:①总体均值=158mmHg;②总体标准差=18mmHg;③临床意义的差值δ=10,即干预后该社区的50~70岁男性平均收缩压为148mmHg才能说明该药物有临床意义的降压效果;④检验水准α=0.05;⑤检验效能(1-β)=0.9。
PASS软件样本含量估算的具体步骤:01 PASS主菜单进入样本含量估算设置界面:
打开PASS15软件,①点击Means菜单并双击或其前面的“+”展开子菜单栏;→②点击OneMean菜单并双击或其前面的“+”展开子菜单栏;→③点击Test(Inequality);→④点击TestsforOneMean→弹出TestsforOneMean对话框进入单组设计均数的样本含量估计界面,详见操作示意图(图1-1)。
图1-1 PASS软件进入单组设计均数的样本含量估计示意图
02 PASS样本含量估算参数设置:
①Solve For:Sample Size,首先说明我们本次所求的结果为样本含量;→②Alternative Hypothesis:Ha:Mean0≠Mean1,选择单双侧检验,本例选Ha:Mean0≠Mean1,说明进行双侧检验(如果是单侧检验则选Ha:Mean0<Mean1或 Ha:Mean0>Mean1);→③Nonparam.Adj.(Wilcoxon Test):Normal,校正方法,默认选择Ignore,即不进行非参数校正。可以根据试验数据的实际分布来选择合适的校正方法,不同的校正方案就是在算得样本量之后乘以相应的校正系数。本例采用非参数校正(资料不满足正态分布时)法进行样本量计算;→④Population Size:Infinite表明抽样总体为无限大:→⑤Power:0.9,表明检验效能为 0.9;→⑥Alpha:0.05设定其检验水准α=0.05;→⑦Mean0(Null or Baseline):158,指定公认的标准值或总体均值,本例中总体均值=158mmHg;→⑧Mean1(Alternative):148,指定公认的标准值或总体均值,本例中总体均值=158-10=148mmHg;→⑨S(Standard Deviation):18,标准差,本例标准差估计值=18,?Know Standard Deviation,勾选表示已知 总体标准差;→⑩点击Calculate按钮,完成单组设计均数比较时的样本含量估算,详见操作示意图(图2-1)。
图2-1 单组设计均数的样本含量估算界面操作示意图
03 PASS样本含量估算结果:
由图3-1可知,PASS软件给出的结果不多,主要有:样本含量估算的结果、相关参考文献、样本量估算报告中出现各名词的定义、对计算结果的总结描述以及假定脱落率为20%时所需的样本含量估计结果和其各名词的相关定义。由于脱落率不同研究结果各不相同,故本次不看脱落率为20%的相关结果,我们主要关注Sample Size(N)这一结果即可:本研究最少需要37例研究对象。
图3-1 PASS实现单组设计均数的样本含量估算结果
想要了解更多统计教程相关知识,请登录常笑医学网中医学统计栏目进行查询和学习。
(来源:看头条网)