新浪新闻

勃起障碍治疗用药网上爆卖,中国独苗爱地那非异军突起

关注

网购的发展不但为生活提供了便利,“外卖+医药”与“网购+医药”的产业结合模式更为一些隐秘“男”题提供了新的解决渠道。

公开资料显示,我国男性群体健康程度不容乐观,年龄超过40岁的人群中,有高达52.5%的男性正在遭受ED(勃起功能障碍)的困扰,ED已成为男性生殖系统发病率最高的疾病之一,随之也带来了市场规模的不断扩容。《2021年中国抗ED药物市场分析报告-市场深度分析与投资前景研究》中指出,随着传统医药销售与互联网新兴模式如外卖、网购等有机结合,对抗ED药物的发展意外性地带来了革命式突破。

以2021年为例,根据米内网的统计数据,该年度抗ED药物在零售药店终端(城市实体药店+网上药店)的销售规模超55亿元。其中,PDE5抑制剂在网上药店的涨势尤为可观,近两年来销售增速均超过50%,2021年突破15亿元,同比增长约78%。

PDE5抑制剂,即5型磷酸二酯酶抑制剂,它是治疗勃起功能障碍的一类药物的总称。作为ED在临床上应用最广泛,治疗最便捷的药品,PDE5抑制剂发展成熟,现已经形成了以西地那非、他达那非等为代表的进口原研药、仿制药,以及以爱地那非为代表的国产专利原研药多头竞争的局面。其中西地那非、他达那非等销售规模稳步上升,增长率有所放缓,爱地那非异军突起,短短上市一年已经形成固定的用户圈层,在各大网络药店销售额以月度为单位同比增速持续攀升,不少网络药店纷纷上调了补货频率,应对市场需求。

在用户终端,得益于进入中国时间早,依靠时间战线换取用户留存是西地那非等老牌抗ED药的金字招牌。与此相对的,爱地那非则奉行是以实用效力建立口碑赢得认可。爱地那非来自于悦康药业,是中国首款自主研发的PDE5抑制剂,国家1.1类新药,国家“十五”863计划科技部重大专项,“十二五”重大新药创制项目,获得了美国、日本、澳大利亚、欧盟等在内的22个国家和地区的专利认证,是中国在此类药物研发道路上的里程碑式产品。

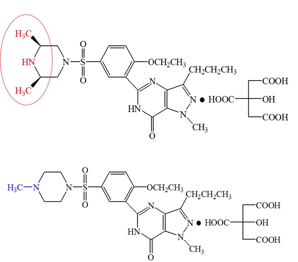
与目前市售的PDE5抑制剂(如西地那非、他达那非等)以PDE5-Is为主要成分不同,爱地那非在PDE5-Is基础上进行了优化,推出了全新的分子结构,与靶酶PDE5的结合有更好的空间配比,更利于通过细胞膜脂质双分子层,有助于药物吸收,相关数据统计爱地那非口服后有效率可达到89.62%。

  图:爱地那非(上)与西地那非(下)化学结构对比

临床试验通常采取通过对不同浓度的PDE5抑制率计算IC值,IC值越小,表明药物对PDE5的抑制性能越好,对抗勃起功能障碍的治疗效果也更明显。研究数据显示,这一实验爱地那非IC50值为0.66±0.15,西地那非的IC50值1.3±0.2,他达那非IC50值1.6±0.2,阿伐那非IC50值5.3±0.2,显示爱地那非对PDE5的抑制效果更为稳定良好。

随着社会竞争的激烈,加诸于男性群体的压力持续增长。中国文化崇尚内敛含蓄,这导致很多男性出现ED后,碍于面子问题,选择药品更倾向于私密的购买方式,这解释了男科用药的日常公开讨论不多,但实际市场销量却并不少的现象。借助互联网的便利,抗ED治疗的普及率有显著上升,也催生了爱地那非这样优秀的本土自主专利药品诞生。而对于消费者而言,无论抗ED药的竞争格局如何变幻,拥有多一项更好的药物选择,始终是好消息。

(来源:新视线)

加载中...