传统中药冬凌草甲素抑制新冠病毒的分子机制
新型冠状病毒肺炎(Coronavirus disease 2019, COVID-19),又称冠状病毒病-19,是由新型冠状病毒(Severe acute respiratory syndrome coronavirus 2, SARS-CoV-2)感染引起的、以肺炎为主要临床症状的、严重威胁人类健康及公共卫生安全的重要传染病。此次新冠疫情直接导致了全球经济停摆,对全世界经济、政治以及人民群众的生活方式造成了极大的影响,也为医疗卫生带来极大的挑战和负担。此外,SARS-CoV-2快速突变的基因组和变异株的不断出现,不仅增加了疫苗和药物开发的难度,而且使许多现有的保护性疫苗和中和性抗体逐渐失效。目前在临床上应用于COVID-19的药物可以分为生物大分子类药物和小分子类药物。生物大分子类药物主要为中和性抗体,并主要以S蛋白为治疗靶点。但是随着SARS-CoV-2突变株的不断出现,且其主要突变位点集中于S蛋白,使得人们不得不重新评价这些抗体药物的疗效,因此小分子抗病毒药物成为治疗COVID-19的一个重要方向。
2022年3月14日,Small Science在线发表了中山大学公共卫生学院(深圳)孙力涛课题组,中山大学药学院周晖皓课题组与中国科学院高峰课题组等合作的题为Oridonin inhibits SARS-CoV-2 by targeting its 3C-like protease的研究论文。该研究以SARS-CoV-2的3C样蛋白酶(3CLpro)为靶点,基于现有的中草药小分子库,通过相互作用、酶活、质谱分析、复合物高分辨率结构解析以及抗病毒等一系列实验,发现传统中药冬凌草甲素(Oridonin)可以与3CLpro的第145位半胱氨酸(Cys145)发生共价结合,能够让3CLpro失效,从而阻止病毒前体蛋白被水解,阻断了病毒复制过程。
冬凌草甲素靶向新冠病毒3CLpro
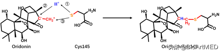
冬凌草甲素作为传统中药在临床上有非常广泛的应用,具有抗菌、消炎止痛之功效,此外具有独特的抗癌作用,包括鼻咽癌、食管癌、肺癌、肝癌、乳腺癌、白血病等。本研究发现,冬凌草甲素与3CLpro的Cys145发生经典的亲核加成反应, Cys145的巯基作为亲核基团与冬凌草甲素上的α,β-不饱和烯烃发生化学反应,形成Oridonin-Cys145加成产物,而阻断3CLpro与底物的结合,从而达到抑制病毒的目的。
冬凌草甲素与新冠病毒Cys145发生亲核加成反应
本研究发现冬凌草甲素可以通过靶向抑制3CLpro而发挥抗SARS-CoV-2的作用。有趣的是,通过基因序列比对发现几种不同主要新冠病毒突变株(包括目前的流行株)的3CLpro序列十分保守,目前仅出现的两个突变位点也均不在冬凌草甲素的结合位点上,提示冬凌草甲素对目前流行的Omicron毒株也应该具有很强的抑制作用。
中山大学公共卫生学院(深圳)硕士生钟柏森和中国农业大学与中国科学院微生物研究所联合培养博士生彭蔚宇为本文共同第一作者;中山大学公共卫生学院(深圳)孙力涛教授、中山大学药学院周晖皓教授和中国科学院天津工业生物技术研究所高峰研究员为本文共同通讯作者。该工作还受到首都医科大学吴燕教授、中国科学院上海有机化学研究所房鹏飞研究员、中山大学周忠卫教授等课题组大力支持。
声明:【非原创文章】本文著作权归文章作者所有,不做商业用途,如有侵权,请联系即行删除。
(来源:新视线)