大家都知道,AI (神经网络) 连加减法这样的简单算术都做不好:

可现在,AI已经懂得微积分,把魔爪伸向你最爱的高数了。
它不光会求不定积分:

还能解常微分方程:
一阶二阶都可以。
这是Facebook发表的新模型,1秒给出的答案,超越了Mathematica和Matlab这两只付费数学软件30秒的成绩。
团队说,这是Seq2Seq和Transformer搭配食用的结果。
用自然语言处理 (NLP) 的方法来理解数学,果然行得通。
这项成果,已经在推特上获得了1700赞。许多小伙伴表示惊奇,比如:
感谢你们!在我原本的想象中,这完全是不可能的!

而且,据说算法很快就要开源了:

到时候让付费软件怎么办?
巨大数据集的生成姿势
要训练模型做微积分题目,最重要的前提就是要有大大大的数据集。
这里有,积分数据集和常微分方程数据集的制造方法:
函数,和它的积分
首先,就是要做出“一个函数&它的微分”这样的数据对。团队用了三种方法:
第一种是正向生成 (Fwd) ,指生成随机函数 (最多n个运算符) ,再用现成的工具求积分。把工具求不出的函数扔掉。
第二种是反向生成 (Bwd) ,指生成随机函数,再对函数求导。填补了第一种方法收集不到的一些函数,因为就算工具求不出积分,也一定可以求导。
第三种是用了分部积分的反向生成 (Ibp) 。前面的反向生成有个问题,就是不太可能覆盖到f(x)=x3sin(x)的积分:
F(x)=-x3cos(x)+3x2sin(x)+6xcos(x)-6sin(x)
因为这个函数太长了,随机生成很难做到。
另外,反向生成的产物,大多会是函数的积分比函数要短,正向生成则相反。
为了解决这个问题,团队用了分部积分:生成两个随机函数F和G,分别算出导数f和g。
如果fG已经出现在前两种方法得到的训练集里,它的积分就是已知,可以用来求出Fg:
∫Fg=FG-∫fG
反过来也可以,如果Fg已经在训练集里,就用它的积分求出fG。
每求出一个新函数的积分,就把它加入训练集。
如果fG和Fg都不在训练集里,就重新生成一对F和G。
如此一来,不借助外部的积分工具,也能轻松得到x10sin(x)这样的函数了。
一阶常微分方程,和它的解
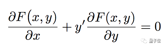
从一个二元函数F(x,y)说起。
有个方程F(x,y)=c,可对y求解得到y=f(x,c)。就是说有一个二元函数f,对任意x和c都满足:

再对x求导,就得到一个微分方程:

fc表示从x到f(x,c)的映射,也就是这个微分方程的解。
这样,对于任何的常数c,fc都是一阶微分方程的解。
把fc替换回y,就有了整洁的微分方程:

这样一来,想做出“一阶常微分方程&解”的成对数据集,只要生成一个f(x,c),对c有解的那种,再找出它满足的微分方程F就可以了,比如:

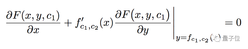
二阶常微分方程,和它的解
二阶的原理,是从一阶那里扩展来的,只要把f(x,c)变成f(x,c1,c2) ,对c2有解。
微分方程F要满足:
把它对x求导,会得到:

fc1,c2表示,从x到f(x,c1,c2)的映射。
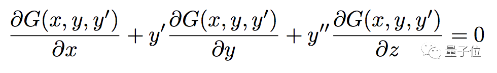
如果这个方程对c1有解,就可以推出另外一个三元函数G,它对任意x都满足:
再对x求导,就会得到:

最后,整理出清爽的微分方程:

它的解就是fc1,c2。
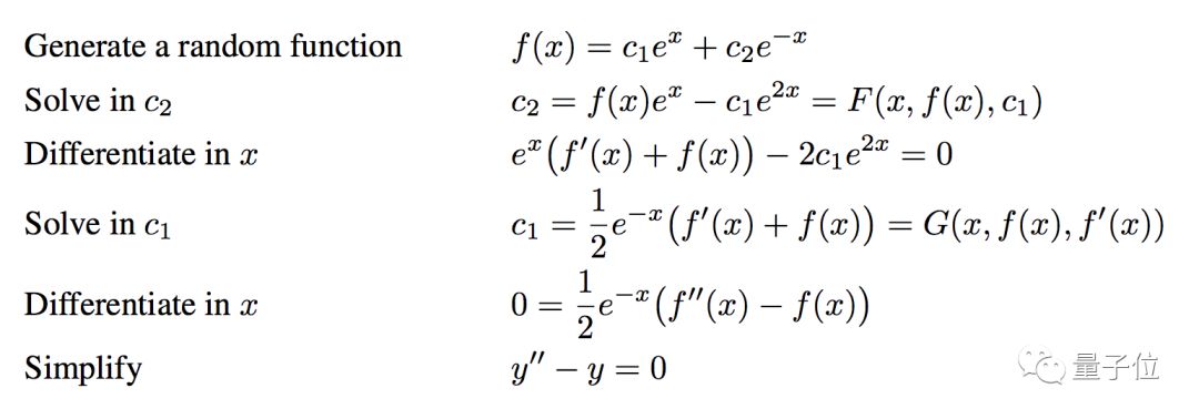
至于生成过程,举个例子:

现在,求积分和求解微分方程两个训练集都有了。那么问题也来了,AI要怎么理解这些复杂的式子,然后学会求解方法呢?
将数学视作自然语言
积分方程和微分方程,都可以视作将一个表达式转换为另一个表达式,研究人员认为,这是机器翻译的一个特殊实例,可以用NLP的方法来解决。
第一步,是将数学表达式以树的形式表示。
运算符和函数为内部节点,数字、常数和变量等为叶子节点。
比如 3x^2 + cos(2x) - 1 就可以表示为:

再举一个复杂一点的例子,这样一个偏微分表达式:

用树的形式表示,就是:

采用树的形式,就能消除运算顺序的歧义,照顾优先级和关联性,并且省去了括号。
在没有空格、标点符号、多余的括号这样的无意义符号的情况下,不同的表达式会生成不同的树。表达式和树之间是一一对应的。
第二步,引入seq2seq模型。
seq2seq模型具有两种重要特性:
输入和输出序列都可以具有任意长度,并且长度可以不同。
输入序列和输出序列中的字词不需要一一对应。
因此,seq2seq模型非常适合求解微积分的问题。
使用seq2seq模型生成树,首先,要将树映射到序列。
使用前缀表示法,将每个父节点写在其子节点之前,从左至右列出。
比如 2 + 3 * (5 + 2),表示为树是:

表示为序列就是 [+ 2 * 3 + 5 2]。
树和前缀序列之间也是一一映射的。
第三步,生成随机表达式。
要创建训练数据,就需要生成随机数学表达式。前文已经介绍了数据集的生成策略,这里着重讲一下生成随机表达式的算法。
使用n个内部节点对表达式进行统一采样并非易事。比如递归这样的方法,就会倾向于生成深树而非宽树,偏左树而非偏右树,实际上是无法以相同的概率生成不同种类的树的。
所以,以随机二叉树为例,具体的方法是:从一个空的根节点开始,在每一步中确定下一个内部节点在空节点中的位置。重复进行直到所有内部节点都被分配为止。

不过,在通常情况下,数学表达式树不一定是二叉树,内部节点可能只有1个子节点。如此,就要考虑根节点和下一内部节点参数数量的二维概率分布,记作 L(e,n)。

接下来,就是对随机树进行采样,从可能的运算符和整数、变量、常量列表中随机选择内部节点及叶子节点来对树进行“装饰”。
最后,计算表达式的数量。
经由前面的步骤,可以看出,表达式实际上是由一组有限的变量、常量、整数和一系列运算符组成的。
于是,问题可以概括成:
最多包含n个内部节点的树
一组p1个一元运算符(如cos,sin,exp,log)
一组p2个二进制运算符(如+,-,×,pow)
一组L个叶子值,其中包含变量(如x,y,z),常量(如e,π),整数(如 {-10,…,10})
如果p1 = 0,则表达式用二叉树表示。
这样,具有n个内部节点的二叉树恰好具有n + 1个叶子节点。每个节点和叶子可以分别取p1和L个不同的值。
具有n个二进制运算符的表达式数量就可以表示为:

如果p1 > 0,表达式数量则为:
可以观察到,叶子节点和二元运算符的数量会明显影响问题空间的大小。

△不同数目运算符和叶子节点的表达式数量
胜过商业软件
实验中,研究人员训练seq2seq模型预测给定问题的解决方案。采用的模型,是8个注意力头(attention head),6层,512维的Transformer模型。
研究人员在一个拥有5000个方程的数据集中,对模型求解微积分方程的准确率进行了评估。
结果表明,对于微分方程,波束搜索解码能大大提高模型的准确率。

而与最先进的商业科学计算软件相比,新模型不仅更快,准确率也更高。

在包含500个方程的测试集上,商业软件中表现最好的是Mathematica。
比如,在一阶微分方程中,与使用贪婪搜索解码算法(集束大小为1)的新模型相比,Mathematica不落下风,但新方法通常1秒以内就能解完方程,Mathematica的解题时间要长的多(限制时间30s,若超过30s则视作没有得到解)。
而当新方法进行大小为50的波束搜索时,模型准确率就从81.2%提升到了97%,远胜于Mathematica(77.2%)
并且,在某一些Mathematica和Matlab无力解决的问题上,新模型都给出了有效解。

△商业科学计算软件没有找到解的方程
邀请AI参加IMO
这个会解微积分的AI一登场,就吸引了众多网友的目光,引发热烈讨论。网友们纷纷称赞:鹅妹子嘤。
有网友这样说道:
这篇论文超级有趣的地方在于,它有可能解决复杂度比积分要高得高得高得多的问题。

还有网友认为,这项研究太酷了,该模型能够归纳和整合一些sympy无法实现的功能。

不过,也有网友认为,在与Mathematica的对比上,研究人员的实验设定显得不够严谨。
默认设置下,Mathematica是在复数域中进行计算的,这会增加其操作的难度。但作者把包含复数系数的表达式视作“无效”。所以他们在使用Mathematica的时候将设置调整为实数域了?

我很好奇Mathematica是否可以解决该系统无法解决的问题。
30s的限制时间对于计算机代数系统有点武断了。

但总之,面对越来越机智的AI,已经有人发起了挑战赛,邀请AI挑战IMO金牌。

Facebook AI研究院出品
这篇论文有两位共同一作。
Guillaume Lample,来自法国布雷斯特,是Facebook AI研究院、皮埃尔和玛丽·居里大学在读博士。

他曾于巴黎综合理工学院和CMU分别获得数学与计算机科学和人工智能硕士学位。2014年进入Facebook实习。
François Charton,Facebook AI研究院的客座企业家(Visiting entrepreneur),主要研究方向是数学和因果关系。

传送门
https://arxiv.org/abs/1912.01412
https://news.ycombinator.com/item?id=21084748
2019年度奖项发布!锁定AI Top玩家
50家领航企业、10大商业突破人物、10大最具创新力产品3大奖项出炉。
跟大咖交流 | 进入AI社群
量子位 QbitAI · 头条号签约作者
վ'ᴗ' ի 追踪AI技术和产品新动态