新浪新闻 国内

2022年上海高考“成绩分布表”出炉!看看你在哪个位置?

上海发布

关注
听新闻

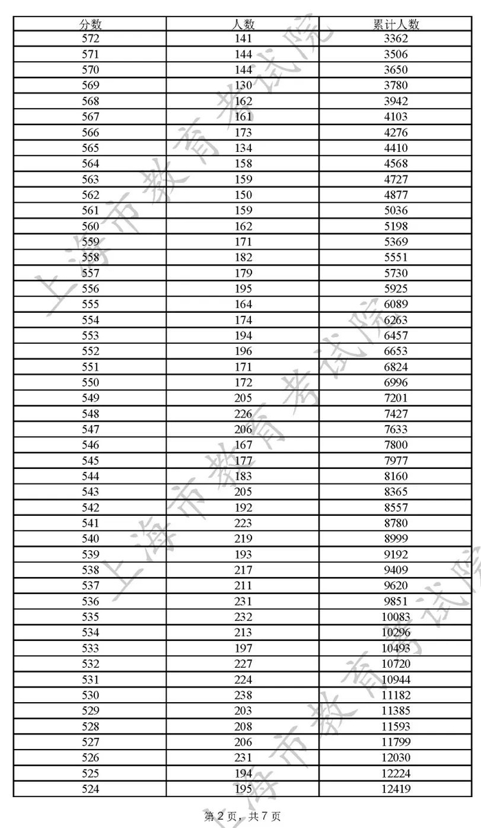
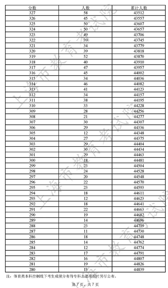
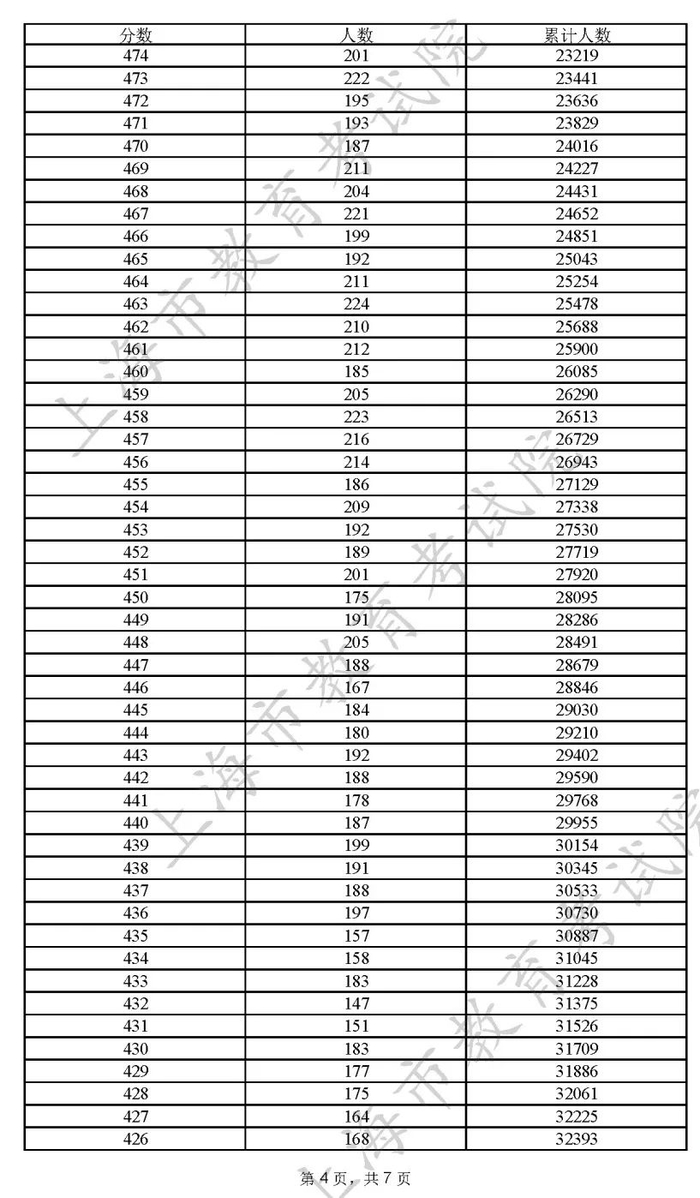
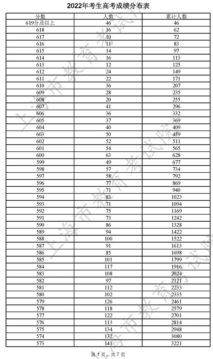
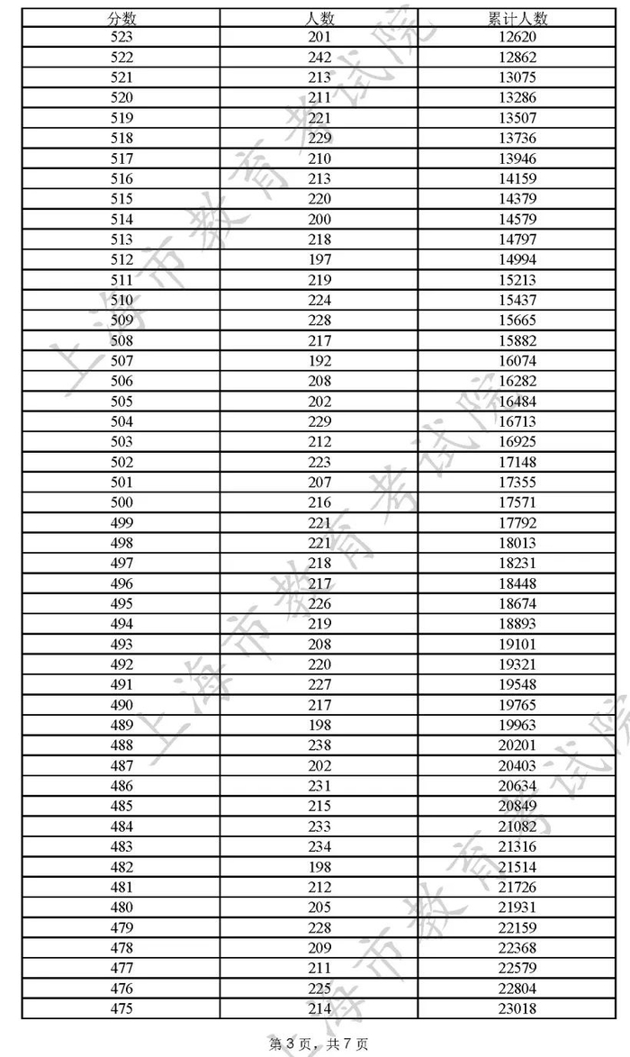
市教育考试院提示,为便于考生考后填报志愿,现公布如下成绩分布信息,供参考↓

注:

2022年选考(思想政治、历史、地理、物理、化学、生命科学)科目考生高考成绩分布表,考生可登录“2022年高考志愿辅助填报系统”查询。

资料:市教育考试院

加载中...