技术突破!天津大学阴离子交换膜获重大进展!
天津大学
来源:天津大学
天津大学内燃机燃烧学国家重点实验室Michael D. Guiver教授与尹燕教授课题组,成功开发出一种新型取向二茂铁盐阴离子交换膜。该阴离子交换膜具有在膜的透过面方向取向排列的离子传输通道,极大地提高了阴离子交换膜燃料电池的功率输出。同时,这种阴离子交换膜具有优异的热稳定性、碱稳定性和氧化还原稳定性,可以在苛刻的电池运行条件下长期使用。
该研究成果以“Magnetic-field-oriented mixed-valence-stabilized ferrocenium anion-exchange membranes for fuel cells”为题,于2022年2月14日发表在国际学术期刊《自然-能源》(Nature Energy)上。博士后刘鑫为第一作者,Michael D. Guiver与尹燕为共同通讯作者。
在阴离子交换膜燃料电池(AEMFC)的实际应用中,氢氧根离子穿过阴离子交换膜(AEMs)从阴极到阳极。大多数AEMs表现出各向同性的阴离子电导率,甚至是不利的各向异性,即与面内(IP)方向相比,透过面(TP)方向的电导率更低。采用相分离等常用策略往往无法有效解决该问题,部分利用电场或磁场定向增强阴离子导电性的研究也只取得了有限的改善。
针对此问题,该课题组使用磁场在顺磁性二茂铁盐AEM中构建了TP取向的传输通道。这一策略沿用了课题组最近在质子交换膜领域取得的进展(Nature Communications, 2019 10, 842; Energy & Environmental Science, 2020 13, 297-309),将同时具有磁响应能力与离子传导能力的材料拓展到了AEM领域。图1为高分子量主链化学惰性聚乙烯基二茂铁(PF)的合成途径。PF通过配体交换可获得烷基取代基效应以提高其稳定性(LPF)。二茂铁部分氧化(即离子化)后可使聚合物具有适当的离子交换容量,在导电性和尺寸稳定性及机械强度之间实现平衡。部分离子化的PF和LPF最后被交换成氢氧根离子形式,分别为PF-OH和LPF-OH。
图1:二茂铁盐聚合物的合成途径
顺磁性聚合物在磁场下通过溶液浇铸形成TP取向的高导电性PF-OH和LPF-OH AEMs(磁铸膜,MMs),分别为MM-PF-OH和MM-LPF-OH。无磁场条件下制备的对照膜(非磁铸膜,NMs)分别为NM-PF-OH和NM-LPF-OH。图2为透射电子显微镜(TEM)观察到的MMs和NMs之间显著的形貌差异,表明磁场能有效诱导生成TP取向的氢氧根离子传输通道。
图2:NMs和MMs微观结构的TEM影像和示意图解
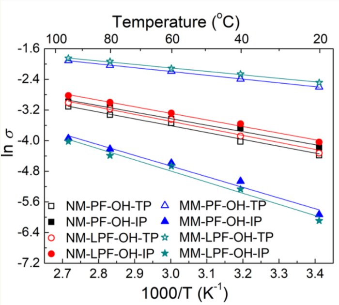
具有TP取向传输通道的MMs在TP方向的离子电导率(σ)显著高于IP方向(图3),在不同温度时,σTP/σIP比值在8.9~36.8之间。MM-LPF-OH的σTP/σIP比值高于MM-PF-OH,因为其取向程度更高(与TEM的观测结果一致)。此外,MMs的TP方向氢氧根离子电导率比NMs在不同温度下高3.1~6.3倍,表明MM中的氢氧根离子在TP方向传导更快,这有助于提高AEMFC的功率输出。
图3:NMs和MMs在水中的TP和IP方向OH-电导率的阿伦尼乌斯图。
与IP方向相比,MMs在TP方向上显示出更高的电导率
除了高阴离子电导率外,碱稳定性对AEMs也至关重要。大多数AEM使用季铵盐(QA)作为阴离子导电基团,通常碱稳定性较差(尤其在高温下)。目前对AEMFC的研究大多采用60~80℃的运行温度,与实际理想应用温度具有一定差距。美国能源部和一些有国际影响力的AEMFC研究团队都认为将AEMFC工作温度提高到至少80℃或更高对AEMFC的发展具有重要意义,这就需要更耐高温的AEMFC材料。本工作中基于二茂铁盐的AEM恰好可以满足该要求。一方面,茂金属盐自身具有高的耐温性,另一方面,磁场诱导的混合价态进一步提高了碱稳定性。因此,磁场在本研究中具有提高电导率和稳定性的双重功能。MMs允许更高的AEMFC工作温度(120℃),同时实现了可观的耐久性(图4),表现出很低的电压损失和高频阻抗(HFR)变化。本研究开发的材料有望突破由于使用传统的基于QA的AEM/离聚物材料而造成的AEMFC运行温度长期受限的问题。
图4:基于MMs的AEMFC在120℃和40%相对湿度下的恒电流测试
(500 mA cm-2)与实时监测的HFR
本研究表明,构造TP取向的结构和混合价态茂金属化学结构是优化AEMs性能的一种有效方法,并有望超越传统的相分离策略。磁场诱导的混合价态显示出超常的碱和氧化还原稳定性,这在正常条件下是无法实现的,为进一步的材料创新提供了参考。由于AEMs在燃料电池、CO2和水电解方面可以通用,本研究工作中开发的材料在可再生和清洁能源的多个领域都具有应用前景。此外,在其他需要定向传质的领域,包括电池隔膜和反渗透膜,如果能构建取向传输通道结构,也有望获得显著的性能改善。
本研究工作开发了一种同时具有高性能和高耐久性的AEM,对AEMFC研究领域的主要科学贡献在于:1. 通过磁场在AEM中构建取向离子传输通道,相比IP方向,显著优化了TP方向的电导率;2. 在迄今报道的最长时间的碱稳定性测试中,没有明显的电导率损失,膜的导电性和稳定性同时得到改善;3. 在厚度标准化后相比于相分离形态的AEM具有更低的HFR;4. AEMFC在120℃和40%相对湿度下具有优异的性能和耐久性(迄今为止报道的最苛刻耐久性测试条件和最高运行温度)。
在高温和低相对湿度下运行AEMFC可能会进一步获得以下优势:(1)促进电极上的反应动力学;(2)通过高温脱附/吹扫减轻CO对催化剂的毒害/CO2对膜的碳酸化;(3)减少阳极的水淹,提高水的扩散率,克服水管理问题;(4)由于电池组和冷却剂之间的温差较大,可以提高余热利用效率,最终有望简化冷却和加湿系统。
本研究得到了国家自然科学基金(21875161)等项目支持。
相关论文信息:https://doi.org/10.1038/s41560-022-00978-y