最新突破!华东师大实现光力学随机热机
华东师范大学
原标题:最新突破!华东师大实现光力学随机热机
▲ 武海斌教授与论文第一作者盛继腾
华东师范大学精密光谱科学与技术国家重点实验室武海斌教授团队实现了微纳尺度光力振子的随机光力热机,利用强耦合条件下简正模式为热机的工作介质,实现了单缸随机热机,发现了关联对做功的重要性,更重要的是还实现了双缸随机光力热机,对在小体系下研究随机和量子热机具有重要意义。
该成果以“Realization of a coupled-mode heat engine with cavity-mediated nanoresonators”为题于12月8日发表在Science Advances 上。华东师范大学为论文的完成单位。紫江青年盛继腾研究员为该工作第一作者,武海斌教授为论文的通讯作者。
▲ 武海斌教授课题组成果在 Science Advances 发表
光力学热机能够
在量子区域进行深入操作
热机在人类发展史上具有里程碑的意义,它的出现直接引发了第一次工业革命,极大推动了人类社会发展的进程。传统热机是将化学能通过燃烧转化为内能再转化为机械能对外做功,该过程有大量粒子参与,其规律可以用经典热力学解释。
近年来随着微纳制造和激光技术的突飞猛进,如何实现微纳尺度甚至原子尺度的热机成为重要的交叉科学前沿,不仅是随机热力学和量子热力学的关键问题,而且对未来的生物、医药、能源等领域有重要应用前景。
其中基于光力学的热机具有极大的优势,能够在量子区域进行深入操作,吸引了领域的广泛关注,然而由于实现光学和力学振子的强耦合以及精确调控挑战性很难实现光力学热机。
实现了双缸随机热机
可推广到更复杂的热机阵列
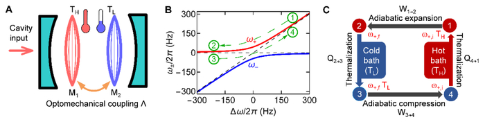
在实验中,通过在光学腔内放置两片纳米尺度的氮化硅薄膜,利用腔内光场的辐射压力实现两个微纳机械振子的强耦合。两片光力振子具有各自独立的热库环境,通过同时控制振子频率和热库,利用系统的本征模式作为做功媒介,实现了随机Otto循环热机,包括绝热膨胀、低温热化、绝热压缩和高温热化四个冲程。
通过对两个微纳振子运动模式的实时测量,得到本征模式的实时声子数,分析了单缸Otto热机的热力学循环和做功效率。图中红点表示本征模在热力学循环中的做功冲程(实验上该冲程的扫描时间可控)。
我们发现两个力学振子之间的关联效应在做功冲程中十分重要。图中的蓝色阴影区域面积揭示了关联做功大小,灰色阴影区域表征了热机做功冲程中在上下两支本征模之间的非绝热跃迁的影响。由于热机受随机噪声驱动,每个热机循环的做功也不相同,满足随机概率分布,为随机热机。
所实现的耦合光力系统具有极大的优势,通过精确调控耦合系统的本征模式,使两支本征模式在一个热机循环中交替做功,进一步实现了双缸随机热机。该实验可推广到更为复杂的热机阵列,有助于研究有限时间量子热力学以及进一步提高输出功率和做功效率。
▲双缸Otto热机的热力学循环。(A) 上支本征模式;(B) 下支本征模式聚焦腔光力学当前重要的
前沿科学领域
武海斌研究团队聚焦腔光力学当前重要的前沿科学领域,在宏观尺度上验证量子力学基本问题,研究高精度精密测量量子传感、微纳量子光学重要物理,以及发展宏观尺度的量子器件等。
该团队通过发展控制高品质因子薄膜振子频率的新技术,在国内率先实现了双薄膜腔光力实验平台,实现了突破量子极限的超灵敏微小位移测量,受到国际同行的跟踪和模仿;近期观测到声子激光自组织同步的路径和相位锁定[Phys. Rev. Lett. 124, 053604 (2020)],实现了一种区别于传统热传导的新型长程可控热传输[Nat. Commun. 11, 4656 (2020)]。

聚焦腔光力学当前重要的
前沿科学领域
武海斌研究团队聚焦腔光力学当前重要的前沿科学领域,在宏观尺度上验证量子力学基本问题,研究高精度精密测量量子传感、微纳量子光学重要物理,以及发展宏观尺度的量子器件等。
该团队通过发展控制高品质因子薄膜振子频率的新技术,在国内率先实现了双薄膜腔光力实验平台,实现了突破量子极限的超灵敏微小位移测量,受到国际同行的跟踪和模仿;近期观测到声子激光自组织同步的路径和相位锁定[Phys. Rev. Lett. 124, 053604 (2020)],实现了一种区别于传统热传导的新型长程可控热传输[Nat. Commun. 11, 4656 (2020)]。
该研究得到了科技部量子调控重点专项、国家自然科学基金重点项目、国家自然科学基金杰出青年基金项目、上海市市级重大专项的资助。
来源|精密光谱科学与技术国家重点实验室
摄影|李振东 许多
通联|金亚珺