新浪新闻 国内

夏季上新!复旦最新科研成果等你来pick!

复旦大学

关注

原标题:夏季上新!复旦最新科研成果等你来pick!

来源:复旦大学

上新啦!复旦大学科研团队近期又取得了数项成果和突破。小编为你整理了2020年4月-5月部分科研成果,快一起来看看吧!

公共卫生学院余宏杰课题组研究揭示增加社会距离对新型冠状病毒传播的影响 成果登《科学》主刊

基于年龄的接触矩阵,A:武汉新冠肺炎暴发前的接触矩阵;B:疫情暴发期间的接触矩阵;C:A与B的差值;D-F:上海的接触矩阵 

近期,复旦大学公共卫生学院余宏杰课题组研究揭示增加社会距离对新型冠状病毒传播的影响。日前,相关研究成果以《人群接触模式的变化塑造了中国新冠肺炎暴发的传播动力学》为题,在线发表于《科学》(Science)主刊。

研究人员对武汉和上海采取的干预措施的有效性进行了研究。结果表明,增加社会距离引起了人群行为的改变,可大幅降低人均每日接触人数,将主要接触控制在家庭内部,从而有效减少了新冠病毒的传播。在采取类似干预措施的其他地区,可采用家庭内部的接触网络进行模型研究。目前尤为重要的是提出可行的长期干预措施,需综合考虑学校和工作场所关闭,以及大规模检测、密切接触者追踪等。未来还需要更加深入地定量研究干预措施的有效性、不同年龄人群的易感性、出现显性和隐性感染的相对风险、传染性等。

实现标准量子极限突破 

物理学系科研团队国际合作研究取得重要进展 成果登《自然》主刊

实验装置简图,原子能级以及与原子相互作用的光脉冲序列

近日,复旦大学物理学系精密测量物理与量子光学团队开展国际合作研究,在突破标准量子极限的精密测量研究中取得系列重要进展。团队利用预测和回溯测量的方法,实现了迄今含原子数最多的原子自旋压缩以及突破标准量子极限的高灵敏度原子磁力计。5月13日,相关研究成果以《用预测和回溯测量实现千亿个原子的自旋压缩》为题在《自然》(Nature)主刊发表。

“我们所采用的预测和回溯的量子测量技术,今后的应用体系将不局限于原子,还可以是光机械体系、离子体系、固态量子体系等,在量子态参数估计、量子传感中都有用武之地。”谈及研究成果的应用前景,研究人员解释道。这也是“突破标准量子极限”精密测量走向实际应用的重要一步。

  五月主要科研成果  

基础医学院应天雷团队发现抗新冠全人源纳米抗体

全人源纳米抗体由于具有更小的体积,相比单抗CR3022能更好的结合三聚面隐藏表位,因此具有更强的病毒中和能力

新冠病毒已导致全球数百万人感染,目前尚无针对其的特效药物。因此,亟需开发安全有效的抗病毒抗体,为抗击新冠病毒提供新型药物和治疗方案。近期,复旦大学基础医学院应天雷团队在抗新冠抗体药物研发方面取得重要进展,发现了一系列抗新冠全人源纳米抗体,可靶向新冠病毒受体结合区上的五类不同表位。该成果于近日在《细胞》(Cell)杂志子刊Cell Host & Microbe上发表。

研究团队近期与合作者基于合成生物学的理念开发了一种新技术,将全人源的重链可变区抗体骨架进行筛选重构,从而首次设计出基于天然胚系基因的全人源纳米抗体。利用这项新技术,研究团队成功筛选到针对新冠病毒受体结合区的数十株全人源纳米抗体,亲和力最低0.6纳摩尔,最高89纳摩尔。研究表明,这些抗体分别结合新冠病毒受体结合区上不同位置的五类表位。针对其中两类表位的全人源纳米抗体能够有效的中和新冠病毒,且具有显著的协同效应。因此,这些全人源纳米抗体有望开发成有效的防治药物,应用于新冠肺炎的临床救治。

生物医学研究院王磊、桑庆团队发现人类卵子成熟障碍新致病基因并探索干预策略

给予一名突变患者的卵子体外注射一定剂量的野生型TRIP13 cRNA,可使卵子成功排出第一极体

近日,复旦大学生物医学研究院教授王磊和副研究员桑庆团队联合国内多家生殖中心,研究发现了导致人类卵子MI期阻滞的第二个突变基因TRIP13(第一个突变基因为团队于2016年发现的TUBB8),并发现了不同的隐性突变类型导致完全不同的两种疾病(纯合无义突变引起Wilms tumor,纯合/复杂合错义突变引起女性不孕及卵子MI期阻滞)。同时,针对患者突变卵子进行了非基因编辑的分子干预,逆转了疾病表型,为未来患者的基因治疗奠定了基础。5月29日,相关研究成果以《TRIP13基因错义突变引起女性不孕及卵子成熟期阻滞》为题,在线发表于国际著名遗传学杂志《美国人类遗传学杂志》(The American Journal of Human Genetics)。

近年来,王磊、桑庆团队联合其他研究者已发现了人类早期生殖过程中的4种新孟德尔疾病,9个新致病基因,并明确了部分基因的致病机制。

数学科学学院林伟教授团队构建辨识因果网络的新型算法

因果关系是自然界现象之间最普遍和最基本的联系。在物理学、生命科学、地理学等各个自然科学领域乃至哲学、经济学等社会科学中,发现内蕴的因果关系、因果网络可以反映系统演化的核心互作机制,具有重要的科学意义。

近日,复旦大学数学科学学院、类脑智能科学与技术研究院的林伟教授团队,与中国科学院、苏州大学、日本东京大学等团队共同合作,提出了数据驱动的因果网络辨识的新型算法。该方法可以用于大规模复杂动力系统内蕴因果网络的复现,有助于解析实际系统演化的本质机制和规律。该研究成果于5月26日以《偏交叉映射排除间接因果影响》为题在线发表于综合类学术期刊《自然-通讯》(Nature Communications)。

意识探秘:植物人能理解语言吗?附属华山医院团队联合探究基于汉语语义理解的不同意识水平意识障碍患者的诊断与苏醒预测

随着现代神经外科手术和神经重症技术、理念和诊疗系统的发展,越来越多严重脑损伤患者得以幸存,但因此维持于严重意识障碍状态下的患者也越来越多,如何准确判断患者的意识水平和预测患者能否苏醒就愈加重要。

5月25日,复旦大学附属华山医院神经外科毛颖教授和吴雪海教授的意识研究团队与中国科学院脑科学与智能技术卓越创新中心(神经科学研究所)王立平研究员团队最新合作成果以《意识障碍患者语言加工深度的评估》为题在《自然-神经科学》(Nature Neuroscience)上以研究长文形式在线发表。基于人类对语言层级结构的理解与意识水平相关,该研究团队利用256导联高密度脑电图,创新性地将一种基于汉语语义理解的听觉范式应用于意识障碍病人残存意识检测和苏醒预测中。

脑科学研究院赵冰樵课题组发现改善脑卒中后神经功能障碍的新方法

脑卒中引起中性粒细胞跨越血管壁,并在脑组织中产生大量的DNA结构NETs(H3Cit),后者是抑制脑内血管新生和重塑的重要分子

近日,复旦大学脑科学研究院、医学神经生物学国家重点实验室赵冰樵课题组,在脑卒中后神经功能修复的研究中取得新的进展。5月19日,相关研究成果以在线发表于《自然-通讯》(Nature Communications)。

赵冰樵研究团队发现脑卒中引起脑内和血液中的中性粒细胞产生大量的NETs,然而其对脑损伤并无保护作用。研究人员通过深入研究,阐述了中性粒细胞NETs是抑制卒中后脑内血管新生和重塑的重要分子。采用中性粒细胞选择性清除、DNA酶、PAD4基因敲除和药物干预等多种方法和手段,研究人员进一步研究证明抑制NETs产生或促进其降解,都可以有效促进脑卒中后的血管新生和功能重塑,并改善受损的神经功能。该研究成果可能为脑卒中后神经功能障碍的治疗提供潜在的药物靶点。

信息科学与工程学院方志来团队在p型氧化镓深紫外日盲探测器研究中取得重要进展

不同薄膜材料制备的深紫外光电探测器的响应度和探测率

近日,信息科学与工程学院教授方志来研究团队在高质量p型β-氧化镓薄膜与高性能MSM型深紫外日盲光电探测器研究上取得重要进展。5月15日,相关研究结果以在线发表于Materials Today Physics

实现高质量的p型氧化镓薄膜材料制备具有非常重要的科学意义和应用价值,不仅可为宽禁带氧化物半导体的p型掺杂提供新思路,还将极大地推动氧化镓基光电器件和电子器件的应用进展。最近,方志来团队采用固-固相变原位掺杂技术,同时实现了高掺杂浓度、高晶体质量与能带工程,从而部分解决了氧化镓的p型掺杂困难问题,在国际上首次成功制备了蓝宝石衬底上的p型掺杂-氧化镓薄膜。

生物医学研究院温文玉团队合作研究揭示神经干细胞不对称分裂的相分离调控机制

Par复合物相分离调控神经干细胞极性建立

近期,复旦大学生物医学研究院温文玉课题组与新加坡国立大学淡马锡生命科学研究院蔡毓课题组再次合作,研究发现神经干细胞不对称分裂过程中,Par蛋白复合物(Par3/Par6/aPKC)也是通过相分离的方式进行组装,进而调控顶-底细胞极性轴的建立以及神经元的分化。研究者进一步提出,极性蛋白复合物多价相互作用介导的液-液相分离可能是细胞极性建立的普遍机制。5月8日,相关研究成果以《相分离介导的Par复合物聚集体形成》为题在线发表于《自然-通讯》(Nature Communications)。 

研究揭示了极性蛋白复合物Par3/Par6/aPKC通过多价相互作用引起的相分离促进了其在局部膜区域的凝聚,而相分离凝聚体对于细胞信号的快速反应也保证了极性建立与解除的高度动态性。由于大多极性复合物都具有类似的多位点结合模式,以及动态分布规律,该研究提出的蛋白质相分离可能是调控细胞极性的普适性规律。

类脑研究院团队通过青少年脑影像学随访队列分析揭示多动症双通路模型的关键脑区

前额叶和枕叶区的灰质体积越小多动症症状越严重

近日,复旦大学类脑智能科学与技术研究院院长冯建峰教授、罗强副研究员团队,与英国剑桥大学、伦敦国王学院等单位合作,研究青少年中注意缺陷多动障碍双通路模型的神经基础,发现左楔叶结构不仅和多动症的认知和动机功能受损相关,还与多动症的遗传风险相关,并且可以预测2年后的多动症症状,很可能提供了多动症的一种影像学标记物。5月7日,这一研究成果以《青少年中多动症双通路模型的神经基础》为题在线发表于《美国精神病学杂志》(The American journal of psychiatry)。

该研究表明,多动症的双通路模型同时存在分离的和共同的脑结构基础。左侧枕叶灰质体积和多动症症状相关,和认知与动机两条通路的受损情况相关,和多动症遗传风险相关,对多动症的症状具有预测性,并且与多动症药物治疗紧密相关。据冯建峰介绍,该研究的发现或有助于构建多动症的影像学标记,帮助精确诊断和疗效评估。

微电子学院卢红亮团队在新型气敏材料及MEMS气敏器件研究中取得新进展

近日,复旦大学微电子学院教授卢红亮团队首次结合硬模板法、原子层沉积技术和水热工艺,在低功耗MEMS器件上原位合成了单层有序SnO2纳米碗支化ZnO纳米线的多级异质复合纳米材料,并以此作为气体传感器,对浓度低至1 ppm的硫化氢实现了超灵敏和高选择性的探测。相关成果发表于Microsystems & Nanoengineering

卢红亮领衔的智能微纳传感芯片及系统课题组正大力开展基于各种纳米复合材料的微纳智能传感器及集成系统的研究,包括气体传感器、光电传感器及微系统芯片等方面的应用探索。

材料科学系梅永丰课题组研发柔性薄膜组装集成芯片传感器

(A) 器件主要功能层示意图;(B) 贴附于曲面上的柔性传感器件阵列;(C) 智能传感器件功能区的光学显微照片;(D)用于湿度传感的集成系统构造图;(E) 氢气通入前后参比器件与检测器件的电流变化,红色为参比电流,蓝色为检测电流

硅芯片是当代信息技术的核心,当前正向“深度摩尔”(More Moore)和“超越摩尔”(More than Moore)两个方向发展。物联网(IoT)应用是“超越摩尔”技术路线中相当重要的一环,需要数量巨大的集成电路芯片来分析处理来自外部传感器件的海量信号。复旦大学材料科学系教授梅永丰课题组提出了将信号检测和分析功能集成于同一个芯片器件中的全新概念。作为演示,研究团队将单晶硅薄膜柔性光电晶体管与智能薄膜材料相结合和组装,构造了对不同环境变量进行检测和分析的柔性硅芯片传感器及其系统。这一思路不仅具有优异的可扩展性,还可与当前集成电路先进制造工艺相兼容。

5月2日,相关研究结果以《面向智能数字灰尘的硅纳米薄膜光电晶体管多功能集成传感器研究》为题发表在《科学进展》(Science Advances)上。研究团队从器件的传感机理入手,利用柔性薄膜组装集成芯片传感器,实现了多种环境参数探测功能的集成。

信息科学与工程学院田朋飞团队发表综述文章 解析Micro-LED显示全彩化关键技术

近日,复旦大学信息科学与工程学院副教授田朋飞团队与台湾交通大学、电子科技大学相关团队合作,围绕Micro-LED显示全彩化关键技术撰写综述文章,发表于Progress in Quantum Electronics杂志。文章系统阐述了实现全彩色micro-LED显示的生长技术、转移打印技术、颜色转换技术,对三种关键技术的机理、实现方法、优缺点进行着重介绍。

  四月主要科研成果  

附属肿瘤医院虞先濬团队在胰腺神经内分泌肿瘤个体化诊疗领域取得新进展

近日,复旦大学附属肿瘤医院胰腺外科虞先濬教授领衔研究团队,通过研究发现胰腺神经内分泌肿瘤中DNA损伤修复蛋白的表达特征,并据此建立了胰腺神经内分泌肿瘤复发特征模型。该模型可以将术后患者分为复发低危人群、中危人群和高危人群三类,有利于胰腺神经内分泌肿瘤患者术后随访策略的制定和个体化辅助治疗的决策。相关研究成果发表于《外科学年鉴》(Annals of Surgery)。该研究为胰腺神经内分泌肿瘤患者术后个性化随访时间的安排和个体化辅助治疗的制定提供了新的依据,有利于及时发现复发转移病灶并进行有针对性的治疗。

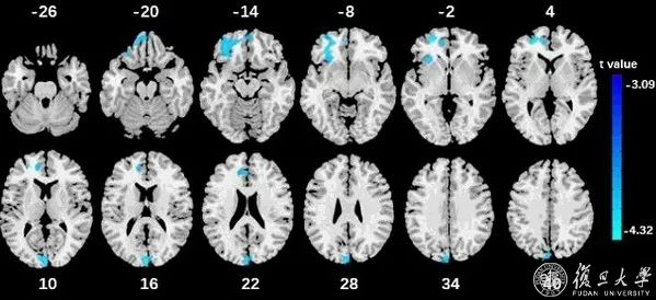
类脑研究院贾天野课题组发现青少年多动及注意力缺陷等外向障碍在多个认知环路上的调控机制

图示:A)奖赏预期下的多动行为核心脑区;B)行为抑制任务下的冲动行为核心脑区;C)行为抑制任务下的注意力缺陷核心脑区;D)行为抑制任务下的品行问题的核心脑区

近日,复旦大学类脑智能科学与技术研究院青年研究员贾天野与英国伦敦国王学院、复旦大学特聘讲座教授冈特·舒曼(Gunter Schumann)共同领衔的国际团队,首次系统性地从多个特异性的认知环路分析了青少年精神和行为障碍的认知调控机制,并找到了外向障碍相关特征行为在不同认知领域特异性的功能脑区。研究者进一步从神经影像层面对这些高度关联的特征行为进行分型,发现注意力缺陷障碍和品行障碍由行为抑制任务下的右侧下额叶区域共同调控,揭示了两者共病的脑网络机制。

4月20日,相关研究成果以《强化相关行为的神经行为学特征及分型研究》为题发表在自然杂志子刊《自然-人类行为》(Nature Human Behaviour),该研究不仅揭示了外向障碍共病及分型的认知环路调控机制,同时为跨疾病诊断及分型治疗提供了重要的理论基础。

物理学系晏湖根课题组揭示二维黑磷 “以少胜多”的红外光吸收现象

2-7层黑磷中(a)激子吸收与层数的关系;(b)带边吸收与层数的关系;(c)二维激子示意图

近日,复旦大学物理学系晏湖根课题组首次在实验上测定了少层黑磷的光吸收强度,发现激子吸收随着层数的减少反而增大。4月15日,相关成果以《少层黑磷光电导的红外光谱研究》为题在线发表于《自然-通讯》(Nature Communications)。物理学系博士后张国伟、博士生黄申洋分别为论文第一、第二作者,晏湖根教授和南方科技大学黄明远教授为共同通讯作者。

该工作比较了几种典型二维材料的光吸收,统一了对二维材料光吸收的认识,提出了对二维激子和价带电子光吸收的分析方法。晏湖根课题组长期致力于少层黑磷的红外光谱研究,这是继能带结构的演化、应力调控和激子效应之后的又一项重要进展,为黑磷在红外探测、发光和调制等光电子应用领域提供了重要的实验依据。

5年无病生存率86.3%,降低复发风险41%

附属肿瘤医院发布三阴性乳腺癌治疗“中国方案”

经过8年努力,一项由复旦大学附属肿瘤医院乳腺外科主任邵志敏教授领衔的三阴性乳腺癌临床试验研究成果,在全球肿瘤学顶尖杂志《临床肿瘤学杂志》(Journal of Clinical Oncology)在线发表。这项被誉为三阴性乳腺癌治疗的“中国方案”证实,在传统化疗基础上联合卡培他滨的辅助化疗方案,使三阴性乳腺癌患者5年无病生存率提高至86.3%,有效降低复发风险41%。

这项联合卡培他滨辅助化疗的三阴性乳腺癌治疗“中国方案”是中国乳腺癌辅助治疗研究领域首个刊登在JCO具有中国自主知识产权的临床研究,它将在保障患者安全性、耐受性的同时,显著提高三阴性乳腺癌患者预后,未来有望写入治疗指南,成为全球三阴性乳腺癌治疗的标准方案。

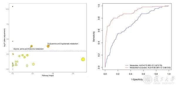
人类表型组研究院和附属华山医院研究团队合作发现可预测老年人群痴呆风险的代谢复合表型?

痴呆前期异常改变的代谢通路(左)与痴呆预测模型的ROC(右)

2020年4月8日,复旦大学人类表型组研究院陈兴栋青年研究员团队、复旦大学附属华山医院神经内科丁玎研究员团队,以及人类表型组研究院分子表型代谢组平台唐惠儒教授团队在痴呆研究领域国际著名学术期刊《阿尔茨海默病与痴呆》(Alzheimer’s & Dementia)在线发表了题为“中国老年人群痴呆代谢组学研究”的合作研究成果。研究结果发现,血清中谷氨酰胺和O-乙酰糖蛋白水平升高与五年后痴呆发生风险正相关,而谷氨酸、酪氨酸、甘氨酸等5个氨基酸水平与痴呆发生风险负相关。该研究成果展示了利用代谢组学技术有望发现痴呆的血液早期诊断表型标志物,也为痴呆发病机制及干预治疗措施的研究提供了新的思路。

公共卫生学院余宏杰课题组在新冠肺炎流行病学及传播动力学领域取得重要进展

有效再生数的动态变化,上:深圳市;中:湖南省;下:山东省,左:每天新增病例数(有武汉或湖北暴露史的病例和本地传播病例);右:Rt

近期,复旦大学公共卫生学院余宏杰课题组在新型冠状病毒肺炎的流行病学及传播动力学领域取得重要进展,或可为中国制定防控策略提供科学证据,为疫情进展中的其他国家提供参考。4月3日,研究成果以《中国湖北省外新型冠状病毒肺炎的流行病学演化及传播动力学:一项描述性及模型研究》为题,在线发表于国际医学期刊《柳叶刀·传染病》。研究结果表明,随着疫情的进展,新冠肺炎的流行病学特征发生了快速变化。

中国政府所采取的迅速隔离病例、追踪病例的密切接触者、严格限制人群流动和接触、提高人群对疾病和预防的认知等防控措施,有效地切断了病毒在社区水平的传播,为阻断湖北省外的本地传播和扩散蔓延做出了重要贡献。文章同时强调,防控措施的有效性仅在措施落实到位时才适用,如果放松现有的公共卫生干预或人群行为发生重大变化,可能会导致后续传播增加。

生命科学学院王永明课题组联合王红艳课题组开发出新的小型CRISPR/Cas9工具

新发现的小型基因编辑工具SauriCas9兼具活性和编辑范围优势

4月2日,复旦大学生命科学学院复旦大学王永明课题组联合王红艳课题组在PLOS Biology上在线发表研究论文。研究人员从耳氏葡萄球菌中发现了一把小型的基因编辑工具,这把玲珑“剪刀”在基因组中可编辑的位点数量和经典的SpCas9一样多,而比另一种小型基因编辑工具SaCas9可编辑位点多。

该研究成果添补了我国在鉴定小型CRISPR/Cas9工具的空白。新的小型基因编辑工具的发现,弥补了现有基因编辑工具的不足。科学家将新发现的小型基因编辑工具命名为SauriCas9 ,同时将SauriCas9的部分序列和SaCas9互换后,得到了精准度高、编辑范围广的嵌合体Cas9。

组       稿

党委宣传部

制       图

洪婉琳

编       辑

李   玲

▼更多复旦新闻,敬请留意复旦大学官方网站。

加载中...