《科学》最新研究聚焦疫情之初:武汉封城前超八成新冠未确诊
澎湃新闻
原标题:《科学》最新研究聚焦疫情之初:武汉封城前超八成新冠未确诊
在新冠肺炎疫情暴发之初,到底发生了什么?
最新研究发现:在1月23日武汉封城之前,中国报告的确诊病例数只有总感染病例的14%,也就是说未记录(undocumented)感染者比例高达86%。
上述结论来自当地时间3月16日国际顶级学术期刊《科学》(Science)在线发表的一项研究。7位来自中国、英国、美国的研究人员联合发表了论文“Substantial undocumented infection facilitates the rapid dissemination of novel coronavirus (SARS-CoV2)”,他们通过计算机模型发现,未记录的新冠病毒感染者是造成新冠疫情迅速蔓延的主要原因,也是疫情初期难以防控的核心。
该项研究发表于顶级学术期刊《科学》
这7位作者分别来自英国伦敦帝国理工学院MRC全球传染病分析中心、美国哥伦比亚大学梅尔曼公共卫生学院、美国加利福尼亚大学戴维斯分校土壤、空气和水资源系、香港大学城市规划及设计学系、清华大学地球系统科学系地球系统建模教育部重点实验室。通讯作者为美国哥伦比亚大学梅尔曼公共卫生学院环境健康科学裴森副研究员(同时为共同第一作者)、Jeffrey Shaman教授。
总体而言,这项研究结果表明,在1月23日即中国实施出行限制及其他高度控制措施之前,大部分COVID-19感染者是未记录的,大部分感染也是通过这部分群体传播的。这一群体的人均传染力是确诊患者的55%。
研究认为,未记录感染者比例如此之高,其中大部分可能症状不严重,这似乎助长了新冠病毒在国内的迅速传播。通讯作者之一Shaman表示,“我们发现这些未确诊感染者数量众多且具有传染性,这些隐形的传播将继续对遏制疫情暴发的努力构成重大挑战。”
研究团队写道,尽管这项研究给出的数据和调查结果表明,出行限制和控制措施大大降低了新冠病毒的传播,但这些控制措施是否足以将基本传染数降低到从而能在某一地区消灭这种疾病,这一点尚不清楚。另外,一旦放松控制措施疫情会不会反弹目前也不清楚。
但他们同时强调,类似的控制措施和出行限制必须在中国以外的国家实施,以防止该病毒的再次输入和传播。Shaman提到:我并不认为病毒能够在中国境内被消灭,因为之后还会有境外输入性病例出现。也许限行能为科学家争取时间研发疫苗,但疫苗研发至少需要数月的时间。
他认为,“新冠疫情可能不像1918年大流感那样糟糕,但可能是1918年后最糟的一次。”
感染分为两类:确诊的感染个体和未记录感染个体
新冠疫情自2019年12月出现于中国武汉,并迅速迅速传播到中国所有地区,截至2020年3月1日,该病毒已传播到58个国家。目前,全球正在为控制疫情而努力,然而考虑到病原体传播能力和毒性的许多不确定,这些努力的有效性依然未知。
论文提到,已经感染但未记录的这部分患者是影响呼吸道病毒大流行潜力的一个重要流行病学特征。这些未记录感染者通常表现为症状轻微、有限的,甚至是无症状,从而未被发现。并且,根据这一群体的传染力和数量,可能会使人群中更大一部分人暴露于病毒。
在这项研究中,为了评估新冠病毒的全部流行潜力,研究团队使用一个模型推断框架来估计中国在进出武汉的交通关闭前后几周内未记录感染者的传染力和比例。
研究团队建立了一个数学模型来模拟375个中国城市感染的时空动态。在该模型中,他们将感染分为两类:第一,确诊的感染个体,其症状严重到足以被确认,即能观察到的感染;第二,未记录的感染个体。
这两类的感染有独立的传播率:β,确诊感染者产生的传播率;μβ,未记录感染个体的传播率。
新冠病毒在城市间的空间传播是通过每天从j市到i市的人数和一个乘法因子来获得。具体来说,春节期间(“春运”)中国375个城市的每日客流量来自于腾讯地理位置服务在2018年春运期间(2018年2月1日至3月12日)收集的人群移动数据。春运的期限为40天,即春节前15天和春节后25天,在这段时间内,中国境内的出行率很高。
为了估算2020年春运期间(从1月10日开始)的人类活动,研究团队对腾讯2018年的数据与此次春节的相应时间进行了校对。例如,他们使用2018年2月1日的移动数据来表示2020年1月10日的人类活动,因为这两个时间点离农历新年相距时间一样。
2018年春运期间,腾讯数据共采集出行事件17.3亿次;不过,中国交通运输部统计,2018年春运40天,全国旅客发送量达29.7亿人次。为了弥补漏报和协调这两个数字,研究团队引入一个大于1的旅游倍增因子θ。
为推断新冠病毒在疫情早期阶段的传播动态,研究团队采用迭代滤波-集成调整卡尔曼滤波(IF-EAKF)框架模拟了2020年1月10日至1月23日期间的观察(即武汉封城之前)。
通过模型和推测系统相结合,研究团队分别估计了375个城市四个模型状态变量的轨迹(易感、暴露、记录感染、感染但未记录),同时推断六个模型参数(Z、D、μ、β、α、θ:平均潜伏期、平均感染持续时间、未记录感染者的传播减少因子、确诊患者传播率、确诊感染者比例、出行多因素)。
非常高的未记录新冠感染者比例:86%
研究团队将模型推断框架应用于1月23日武汉封城之前观察到的疫情,即中国全国范围内共有801例确诊患者。最佳拟合模型参数估计生成报告案例的模拟,这些随机模拟的分布很好地反映了观测情况的范围。此外,最佳拟合模型捕捉到新型冠病毒传播到中国其他城市的情况。
所有城市(A)、武汉市(B)和湖北省(C)每日报告病例的模拟。蓝色箱线图显示用最佳拟合模型得出的中位数、四分位范围和95%置信区间。红色表示每日报告病例。
研究团队对有效传染数(Re)的中位数估计为2.38(95% CI: 2.04−2.77),该值与疫情流行初期的基本传染数(R0)相当,这表明COVID-19具有较高的持续传播能力。这一发现与最近其他几份研究中的估计一致。此外,潜伏期和感染期的中位数估计值分别约为3.69天和3.48天。
2020年1月10日至1月23日期间,关键流行病学参数的最佳拟合模型后验估计。
研究还发现,在1月10日至1月23日期间,中国报告的确诊病例数只有总感染病例的14%(95%置信区间:10-18%)。这一估计显示了一个非常高的未记录感染者比例:86%。
D、Re估计值分布;E、所有其他参数保持不变的情况下,不同α和μ对Re的影响;F、黑色区域代表相应的参数组合得到Re=2.38。
论文中提到,从武汉撤离的外国人的感染率独立地证实了这一发现。这些未记录感染者的传染力预计是确诊患者的一半(μ= 0.55;95%置信区间:0.46-0.62)。
随后,研究团队使用最佳拟合模型估计,在1月10日至1月23日期间,武汉市新增COVID-19病例共计13118例(95% CI: 2974-23435),包括所有确诊和未记录感染者。
此外,所有感染中的86.2%(95%可信区间:81.5%-89.8%)由未记录感染者的病毒传播导致。在全国范围内,1月10日至1月23日的感染总人数为16829人(95%可信区间:3797-30271人),同样,86.2%(95%可信区间:81.6%-89.8%)病例由未记录感染者传播导致。
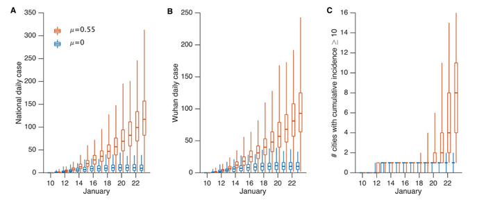
无记录感染者对新冠病毒传播的影响。使用前述参数模拟每日报告病例,μ=0.55(红色)、μ=0(蓝色)。所有城市(A)、武汉市(B)、累计病例≥1的城市数量(C)。箱线图显示中值、四分位范围、95%置信区间。
为进一步研究有传染性的、未记录的 COVID-19感染者对整体传播和总报告病例数的影响,研究团队使用最佳拟合参数估计(但μ=0,即未记录感染者不再具有传染性)生成了一组假设疫情。
研究发现,如果没有未记录感染者的传播,中国在1月10日至1月23日期间报告的感染病例可以减少78.8%,武汉则是减少66.1%。此外,在这期间确诊病例超过10例的城市较少,只有1个城市在1月23日确诊病例超过10例。这一发现表明,具有传染性的、未记录的感染者助长了新冠病毒在中国的传播。
武汉封城之后确诊感染者比例提高到六成以上
研究还模拟了1月23日之后COVID-19在中国的传播情况。相比于前期,当时已经采取了更有力的控制措施。这些控制措施包括主要城市和武汉之间的出行限制、政府倡导的自我隔离和接触注意事项、以及更多可用的感染确认快速检测。
论文中提到,上述这些措施以及由于对病毒认识的增强和个人保护行为的增加(例如佩戴口罩、增加社交距离、患病时自我隔离),导致民众就医行为发生变化,这可能改变了1月23日之后疫情的流行病学特征。
为了量化这些差异,研究团队使用模型推断框架和1月24日到2月8日之间的城市每日病例,重新估计了系统参数。1月23日之后,由于城市间的流动性受到限制,他们测试了两种不同的出行情景:情景1,根据百度流动性指数的变化,进出武汉的出行减少了98%,所有其他城市之间的出行减少了80%;情景2,完全停止城际旅行。
1月24日至2月3日、1月24日至2月8日期间,关键流行病学参数的后验估计。往返武汉的客流量减少了98%,其他城市间的客流量减少了80%。
鉴于控制措施在不断调整,研究对1月24日至2月3日(阶段1)、1月24日至2月8日(阶段2)两个时间段均进行了估计。这两个时间段内,根据情景1前提的最佳拟合模型都表现出报告延迟时间缩短,即6天,而在1月23日之前报告延迟时间为10天。这一结果和后期病例的更快确诊也符合。
潜伏期和感染期的估计与1月10日至1月23日的估计相似,但是α、β和Re都有变化。确诊病例的传播率β在阶段1降至0.52(95%置信区间:0.39-0.71),在阶段2降至0.35(95%置信区间:0.27-0.50),不到出行限制前该估计值的一半。
确诊感染者比例α估计为0.65(95%置信区间:0.60—-0.69),即在阶段1,65%的感染病例被确诊,高于出行限制之前的14%;在阶段2,这一比例几乎保持不变。
同时,阶段1的有效传染数为1.36(95%可信区间:1.14-1.63),阶段2的有效传染数为0.99(95%可信区间:0.76-1.33),均低于出行限制前的2.38。
未记录感染者的相对传播率估计值μ比1月23日之前大幅降低,研究团队认为这可能反映出,这期间只有症状非常轻微、传染性也较低的这部分病例还未得到确诊,或者是个人防护行为和预防措施被证明有效。
类似的参数估计同样在场景2(完全不出行)下得到。
研究团队提到,阶段1和阶段2的推断结果应谨慎解释,因为这两个时期的就医行为和控制措施在不断变化。这些改变使预测疫情发展变得相对困难。
警惕新冠成为可在人类中流行的第五种冠状病毒
研究结果还表明,为了全面控制新冠疫情,需要从根本上加强对目前未记录感染者的确认和隔离。
论文也提到了目前中国防疫形势的积极变化。新闻报道的增加、普通人群对该病毒的认识,这些可能已经促使呼吸道症状患者寻求医疗护理的比例增加。此外,卫生保健提供者、公共卫生官员的认识和病毒确认分析的可用性表明,识别未发现感染者的能力已经提高。同时,普通民众和政府的应对措施已经增加了口罩的使用、限制出行、推迟开学和隔离疑似患者。
所有这些都可能进一步减缓新冠病毒的传播。
研究团队认为,综合这些措施,预计将提高报告率、减少无记录感染者的比例,并减少疫情的增长和传播。
事实上,对1月23日之后中国疫情流行病学特征的估计表明,政府的控制努力和普通民众的认识,已经使得新冠病毒病毒的传播率降低(即更低的β、μβ、Re)、报告率也大幅增加,同时已经超负荷的医疗系统负担减轻。
研究团队总结,2020年1月10日至1月23日的结果描述了新冠病毒在中国的传播特点,当时疫情还没有受到重大限制或控制。这些发现为未记录感染者的比例及其在这种环境下的相对传染性提供了基础评估。
这项研究关键的发现是,86%的感染者是未记录的,而这些未记录的感染者的人均传染力是确诊患者的55%。当然在控制、监测和报告实践不同的国家,这种情况可能会发生变化。
研究团队称,我们的发现强调了新冠病毒的严重性和大流行的潜力。2009年H1N1大流行性流感病毒也造成了许多轻微病例,并迅速在全球传播,并最终成为地方性疾病(endemic)。所谓的地方性疾病,指的是局限于某些特定地区内相对稳定,并长期性经常发生的疾病。
目前,已有四种地方性的冠状病毒株在人群中流行,即229E、HKU1、NL63、OC43。研究团队提醒,如果这种新型冠状病毒沿袭2009H1N1大流行性流感的模式,它也将在全球传播,并成为可在人类中流行的第五种冠状病毒。
责任编辑:郑亚鹏 SN238