新浪新闻

卫生纸到底该朝内放还是朝外放?这个问题人们已经吵了几十年了

微天下

关注

来源:把科学带回家

如果有天你蹲坑的时候忘记带手机了,不妨在百无聊赖的时候拿起卫生纸研究一下。

如果卷纸上有数独就更好了。| Pixabay

可不要小看了放在放在卫生间的卷纸,我们或许能用卫生纸就学好数学。而更离谱的是,因为一卷卫生纸该怎么摆放的问题,人们已经吵了几十年了。

一卷卫生纸到底有多长?

如果你想知道一卷卫生纸到底有多长,你的办法是什么?除了用妈见打的方式把一卷卫生纸全部都拆开,或许下次你可以试试用算的

想知道一卷卫生纸有多长,我be like↑| Giphy

在数学老师眼里,这只是一个简单的微积分问题。学会算这个问题,下次蹲坑的时候你也可以轻松算出你家的卫生纸还剩多长。

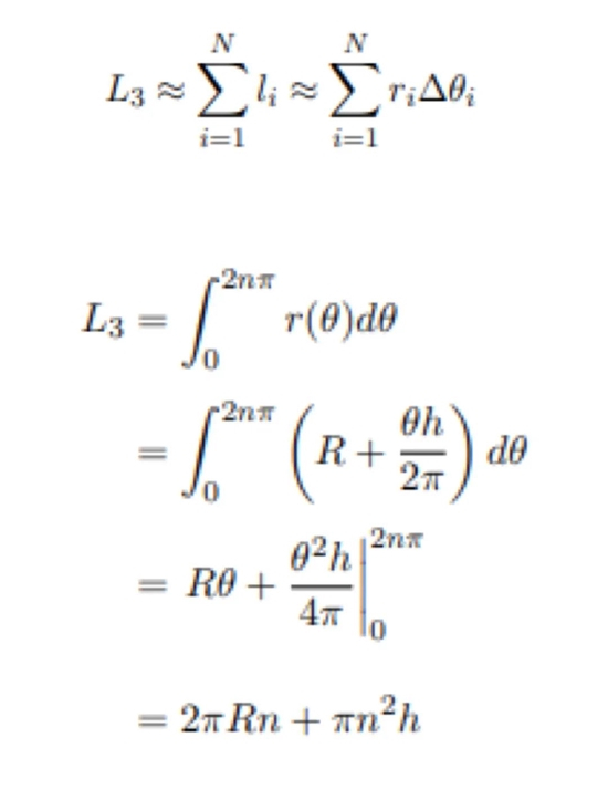
从最基础的开始算起,我们可以将卫生纸看作一个半径为R的纸筒,上面一共缠了n层纸,就可以看成是套了n层圆环。纸的总厚度为D。而一张纸的厚度为h。

所以第一层的半径就是R1=R,第二层R2=R+h,第三层R3=R+2h,第i层就变成了Ri=R+(i-1)h

那么,想要算出纸的总长度L1,我们只需要算出每一层圆的周长,再把它们加起来就行了是不是非常简单。

一个简单的求和问题(省略了中间的计算过程)

不过,纸卷的情况要比这个更复杂,因为纸不断缠绕的时候,圆环的半径也在不断增加。与其把它看成是一层一层的圆环,还不如直接看成一个螺旋,通过旋转的角度来计算螺旋的总长度。然后再把纸巾转过的所有角度都加起来就好了。

这时候,我们就得到了计算纸长度的公式,只需要把那些容易测量的数值都代进去就好了。

…………可以直接拉到下面看答案了(。

值得注意的是,如果你觉得算一张纸到底有多厚很有难度,可以把20张卫生纸叠在一起量,之后除以20就好了!

办法总比困难多√!| Giphy

一卷标准的卫生纸(纸筒半径55mm,纸张厚度20mm,单张纸厚度为0.36mm),纸张长度大约是22907mm。而你也可以带着尺子去上厕所,算算你家的卫生纸长度。

这项估算结果的答案也得到了验证。根据隔壁科学编辑人工手动数出来的结果,一卷卫生纸共有167格,这样算下来的话,被虚线隔开的每一格都是13.7cm。

经过验证,结果还真是分毫不差!| 把科学带回家实拍

用卫生纸来学简单建模和微积分是不是很有用?妈妈听了都要连夜送你去上厕所。

你家的卫生纸卷怎么放?

你家的卫生纸卷是朝里放还是朝外放?为什么?

1986年,专栏作家兰德斯在杂志上公开表示,卫生纸卷应该朝里放。结果她的观点受到了极大的争议,兰德斯那年一共收到了15000封信来讨论这个问题。

而几十年来,人们居然一直为这个问题争论不休,而大家的理由也花样百出,从美学到舒适度、便利性等都有自己的观点。

打起来!打起来!

朝外放的人觉得,这样更方便地取出自己想要的格数。而且如果纸卷朝内放,取的时候就很容易碰到墙壁,沾上细菌和灰尘。

而朝内放的人则认为,将卫生纸的末端隐藏起来会比较整洁,避免了孩子或者宠物把一整卷纸拉散。

表演一个卷纸消失术!| Giphy

在各种调查中,平均有30%左右的人选择朝内放,约70%的人会选择朝外放。

如果你刚好遇到一个和你意见相同的人,也许真的很幸运,因为这样就会避免一些争执。有调查就表明,关于厕纸到底朝向哪的争吵,会出现在家庭、公司和公共场所中,也会真的影响心情。

调查发现夫妻情侣间真的会因为这个问题引发争吵。而在阿蒙森-史考特南极站几十个人住在一起时,人们也曾为卫生纸朝向哪里的问题而提出投诉。

卫生纸:?关我啥事,勿cue | Pixabay

在700多个朝外放厕纸的人中,有24%的人会因为方向不正确而感到恼火,还有27%的人会在朋友家的卫生间纠正厕纸的朝向。

如果你觉得这个问题很无厘头,那……不然呢?卫生纸究竟朝外放还是朝里放,洗澡该先洗头还是先洗澡,袜子该朝外卷还是朝内卷,似乎是很适合在上厕所的时候考虑的问题。

也正是因为如此,还催生了一些更贴心的设计。比如在厕所里放两个卷纸架,一个朝内一个朝外,互不影响。或是能旋转的卫生纸架、自动出纸机等。

为了世界和平,只好放两个卫生纸架了。| Wiki

每个人的取纸方式

居然是独一无二的?

不得不承认,厕所与我们的健康密切相关,从厕所中就能看到一个人的饮食习惯、肠道健康和肾脏疾病等。所以未来,厕所可能是收集个人健康数据的重要场所。

但这也有一个问题:因为厕所往往是几个人共用的公共场所,如果想要搜集信息,用户识别就成为了一个重要的问题。

从厕所里可以看出许多健康指标。| Pixabay

由于个人隐私,在厕所里装摄像头和麦克风肯定行不通。每次上厕所时都手动输入个人信息似乎也不太合理,科学家还提出可以从粪便中提取每个人的DNA,但这耗时又费钱,不是能轻易实现的。

就有日本科学家提出:我们可以通过扯卫生纸的方式来识别上厕所的人啊!

他们考虑到:在卫生间这样的私密空间中,也许每个人都会有独特的取纸方式。于是他们就将无线陀螺仪装进了卫生纸架中,测量拉动卫生纸的角速度,通过大量数据训练后,传感器就能识别是谁上厕所了。

结果发现,按实际五人之家的场景中,这个陀螺仪传感器的识别准确率是69.2%。不过这个数据量还是太小,如果经过更多数据训练,这个装置能识别得更准确。

从拉卷纸看出你是谁。| Giphy

虽然看着没什么大用,但上厕所可是一件正经事,卷纸也能算得上一项了不起的发明。古代人们如厕后,曾用树叶、草、贝壳或苔藓等各种材料清洁自己,直到19世纪卷纸才走上了流水线。人们也通过压花、改善材料让卫生纸更加舒适耐用也更加环保。

就算上厕所时没有手机,你也可以多看卷纸一眼,说不定也能玩出花来呢。

真·玩出花。

一个冷知识:纸巾纸(各种抽纸面巾纸)和卫生纸(卷纸)是两种纸。除了卷不卷的区别之外,其实两种纸的卫生标准并不同。

加载中...