新浪新闻

DeepSeek「五一礼包」来了!新开源模型数学推理能力大提升|附实测细节

新浪人工智能

关注

赶在五一假期前夕,DeepSeek 给我们送出一份惊喜大礼。

延续一贯的开源节奏,DeepSeek 在 Hugging Face 正式发布 DeepSeek-Prover-V2,并同步上线模型卡及示例代码。此次共推出两个版本:

DeepSeek-Prover-V2-671B:在 DeepSeek-V3-Base 基础上训练,推理性能最强。

据官方论文披露,DeepSeek-Prover-V2 的训练核心是「递归+强化学习」的组合:即先由 DeepSeek-V3 拆解复杂定理,生成一系列子目标和推理思路;再通过 GRPO 算法,从多种候选方案中自动学习如何选出最优解。

模型特别引入了两种互补的「解题风格」:

快速模式(non-CoT):专注于速度,像是一位熟练工匠,直接生成精炼的 Lean 代码答案,不展示思考过程,适合处理大量题目。

逻辑模式(CoT):更像一个耐心的数学老师,会详细列出每一步推理过程,确保逻辑清晰、思路透明。

训练过程分为两阶段,在第一阶段,研究人员主要训练快速模式,采用「专家迭代」方法:模型先尝试解决难题,成功的答案再作为新数据反哺模型,不断打磨自己的能力。

待快速模式趋于稳定后,研究人员进入第二阶段,开始训练更复杂的逻辑推理能力。他们将 DeepSeek-V3 的数学知识迁移到新模型中,并结合形式化数据,引入「冷启动」机制,构建起更复杂的推理路径。

为了进一步提升推理能力,研究人员引入了 GRPO 的强化学习算法,不同于传统的 PPO,它直接在多个候选答案中比较优劣,引导模型自主学会选择最优解。

具体做法是:每次输入一个定理,系统会生成 32 个不同的证明方案,然后只保留被 Lean 验证系统判定为「正确」的答案(奖励 1 分,否则 0 分),这样模型就能在高质量反馈中不断进化。

在开发出性能强大的 671B 模型后,DeepSeek 研究团队又尝试把这些能力「蒸馏」到更小的 7B 模型中,而整个过程就像是师傅教徒弟:

先用大模型生成解题过程,再教会小模型理解并复现;同时将小模型输入长度扩展至与大模型一致,并经历相同的强化训练。

这样,即便在资源有限的设备上,用户也能使用小体积模型获得接近大模型的数学推理能力,并根据需求选择快速或详细解题风格。

整个体系中,DeepSeek-V3 负责拆解复杂定理,生成自然语言的推理草图,同步转译为 Lean 语言表示的一系列子目标,并生成「思路链」作为中间引导。

7B 模型再一步步完成子证明,最终拼接成完整推理。这种「模糊思考 + 精确证明」的训练机制,有效提升了小模型的数学理解深度。

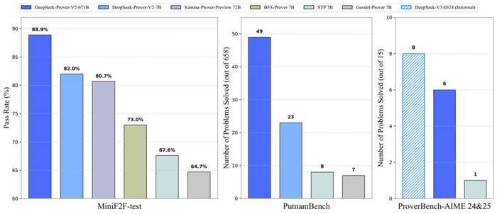
在最终性能评估中,DeepSeek-Prover-V2-671B 在 MiniF2F 测试中实现了 88.9% 的通过率,成功解出 PutnamBench 数据集中的 49 道难题。

与此同时,DeepSeek 还同步推出了一个全新的数学形式化数据集 ProverBench,共包含 325 道问题题目。涵盖:

AIME 竞赛题(15 题)

数论、代数、线性代数、微积分、实分析等多个方向

这一数据集不仅包含真实的高中竞赛题目,还涵盖从基础代数、实变分析到概率论等多个本科阶段知识点,能够系统评估模型在不同数学领域的推理能力。

结果显示,在 15 道 AIME 竞赛题中,DeepSeek-Prover-V2 成功解出其中 6 道,而 DeepSeek-V3 使用多数投票方式(majority voting)则解决了 8 道。

按照官方的说法,这组对比凸显出一个重要趋势:大型语言模型在「非正式数学推理」和「正式数学推理」之间的表现差距正在明显缩小。

非正式数学推理:指模型像人类一样用自然语言思考、理解并解答数学题,比如我们日常说「这道题怎么算?」的方式。它更灵活、不需要严格的逻辑形式。

正式数学推理:指模型能用像 Lean 这样的形式语言,写出符合数学逻辑、可被验证器检验的严谨证明。它像数学论文中的证明,强调每一步推理都必须严格准确。

换句话说,过去模型更像是「会算但不会写出严谨证明」。而现在,在模型结构和训练策略不断演进下,语言模型也逐步学会了写出规范、可验证的数学证明。

此外,DeepSeek 宣布新模型的使用将遵循其公开许可证。

🔗 https://github.com/deepseek-ai/DeepSeek-Prover-V2/blob/main/LICENSE-MODEL

目前,Prover-V2 系列已可通过 Hugging Face 平台免费下载,并支持 Transformers 接口部署。Novita AI 是首批上线 Prover-V2-671B 推理服务的第三方提供商,我们也借此测试了一些问题。

经典的「一根 5.5 米长的竹竿可以通过高 4 米宽 3 米的门吗?」很遗憾,结果它没答对。

对于这道抽象代数,它的回答不仅正确,还能从基本定义出发,解释了什么是群同态、Z₁₂ 和 Z₄ 的含义,以及同态的运算规则,显然,这对于初学者很友好。

从论文所透露的方向来看,DeepSeek-Prover-V2 给出的不仅是数学答案,更指明了语言模型下一阶段的可能路径。

如果说过去我们关心的是大模型「能说什么」,那么在 Prover-V2 身上,我们得需要关注它「能证明什么」。

数学只是切入口,推理才是 DeepSeek 这次真正下注的方向。

从生成内容迈向生成结构化逻辑,这条路线不够性感,也不容易讲故事,却可能最早触碰通用人工智能的底层结构。

毕竟,AI 可以不懂人情世故,但它必须学会推理,因为任何知识系统的边界,归根结底都是逻辑能否闭环、以及推理能否成立。

最后附上相关地址:

1️⃣ DeepSeek-Prover-V2-7B HuggingFace 地址:https://huggingface.co/deepseek-ai/DeepSeek-Prover-V2-7B2️⃣ DeepSeek-Prover-V2-671B HuggingFace 地址:https://huggingface.co/deepseek-ai/DeepSeek-Prover-V2-671B3️⃣ DeepSeek-ProverBench HuggingFace 地址:https://huggingface.co/datasets/deepseek-ai/DeepSeek-ProverBench4️⃣ DeepSeek-Prover-V2 GitHub 地址:https://github.com/deepseek-ai/DeepSeek-Prover-V2

文 | Prover

加载中...