新浪新闻

北大“韦神”出题,初二学生给出标准答案!网友:字都认识……

北京青年报

关注

近日,北京大学北京国际数学研究中心推出的一道数学题,获得了数学爱好者的广泛关注。

出题的是北京大学数学科学学院研究员,第49届、第50届国际数学奥林匹克竞赛满分金牌得主韦东奕。

一起来看看“韦神”出的这道题吧!

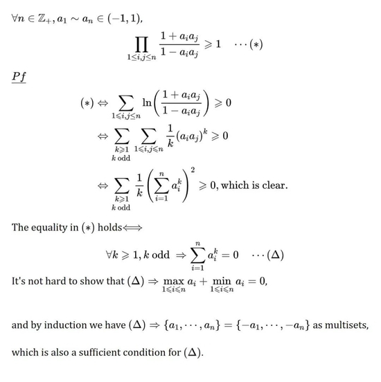
题目

先来了解一下韦老师的出题思路:题目主要考察幂级数和取对数的技巧。通过对不等式取对数,再用对数函数的Taylor级数,可以写成完全平方式求和的形式。注意这个不等式不能直接由n=2的情形推出。

截至目前,已有近百位读者提交了解答。出题人韦东奕从中挑选了三份作为“较好的解答举例”。据韦东奕介绍,本题的解答线索只有一个,因此他挑选出来的三份解答相似度高,均可以作为标准答案来使用。

特别是其中有一位初中二年级的同学,给出了简洁、完备的答案,令人欣喜。

较好的解答案例

解答1 答题人来自国内某大学

解答2 答题人来自国内某中学

解答3 答题人来自海外某大学

小彩蛋

最近火爆全球的GPT-4,能不能解答韦东奕出的题目呢?

下面是北京国际数学研究中心老师们测试的结果。

在解答有挑战的数学问题上,人类大脑和AI表现有何差异?

中国科学院院士、北京大学数学科学学院教授、北京国际数学研究中心主任田刚说:目前看来,在“解答有挑战的数学问题”这个任务上,人类大脑具有优势。但是随着AI不断升级更新,这种优势能在多大程度上保持呢?年轻一代将肩负起探寻这一问题答案的重任。

网友评论

加载中...