新浪新闻

362分!最低录取资格线公布!济南中考一分一段表来了!指标生分配方案也出炉

山东商报

关注

原标题:362分!最低录取资格线公布!济南中考一分一段表来了!指标生分配方案也出炉

6月29日下午,济南市教育局召开新闻发布会,公布济南市2021年高中阶段学校招生考试相关情况。

2021年济南市(不含莱芜区、钢城区)九年级初中学业水平考试共报名参加考试63078人,普通高中学校招生计划共计41288人,普通高中志愿填报资格线为362分

今年中考招生录取时间为7月5日至7月25日。填报志愿录取进程分为三个批次,第一批次志愿填报时间为7月5日至7月6日,第二批次为7月14日至7月15日,第三批次为7月22日。

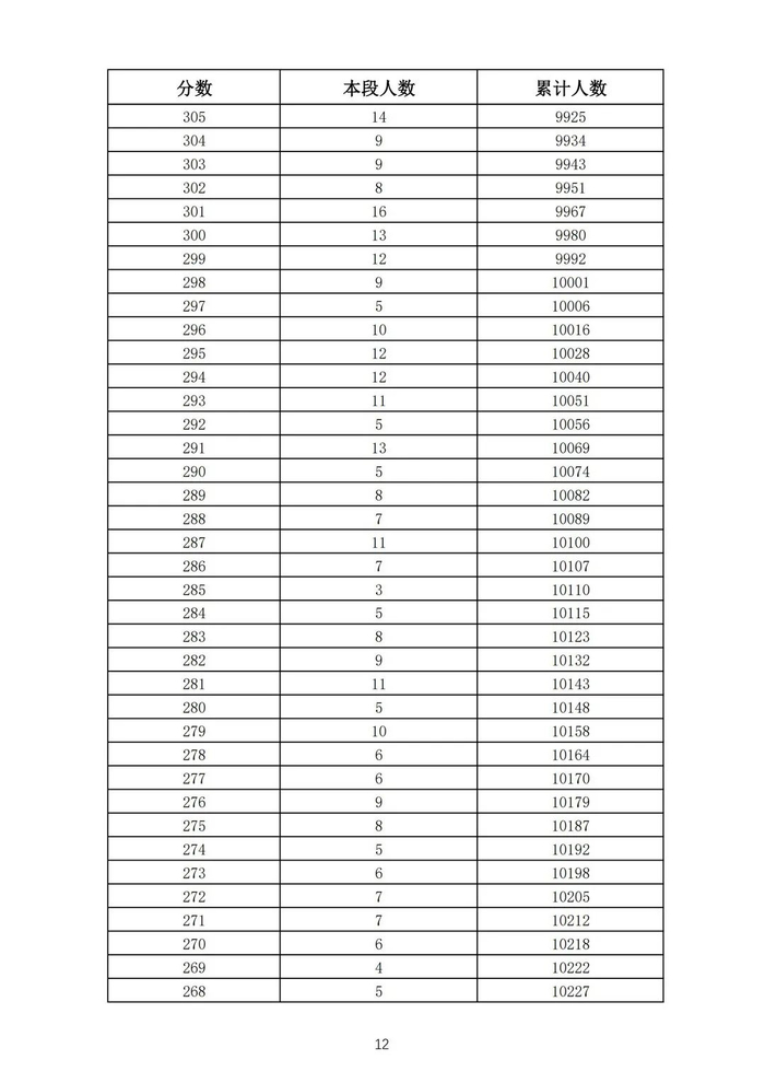
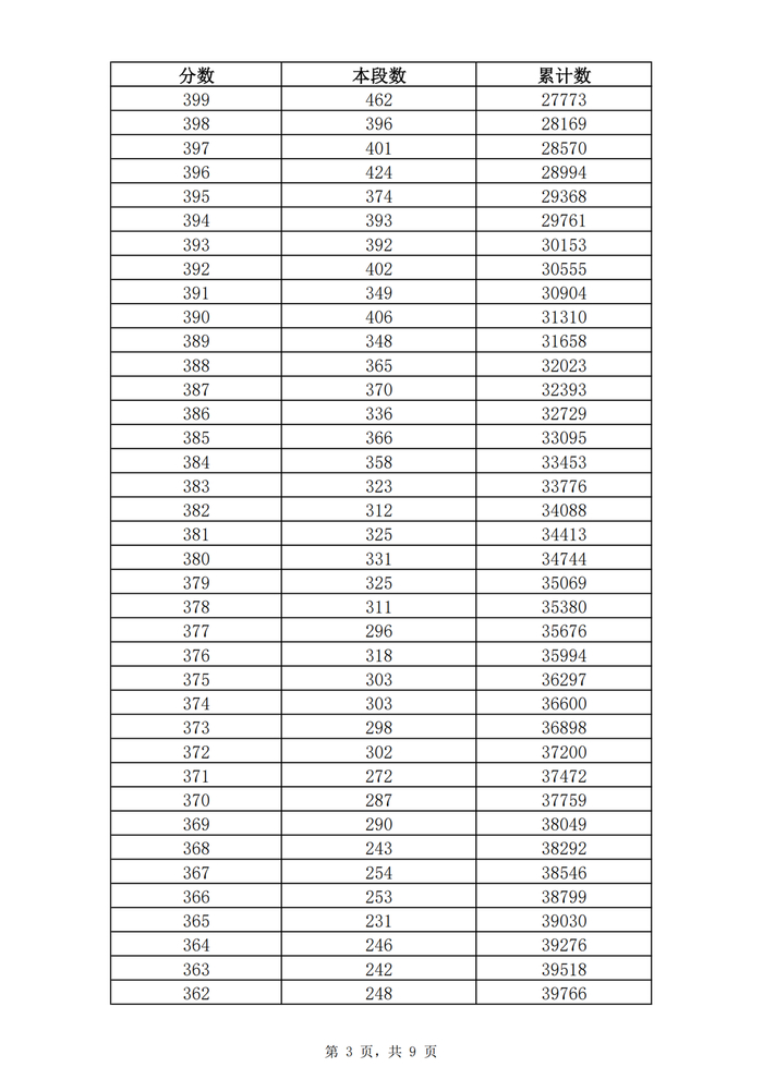
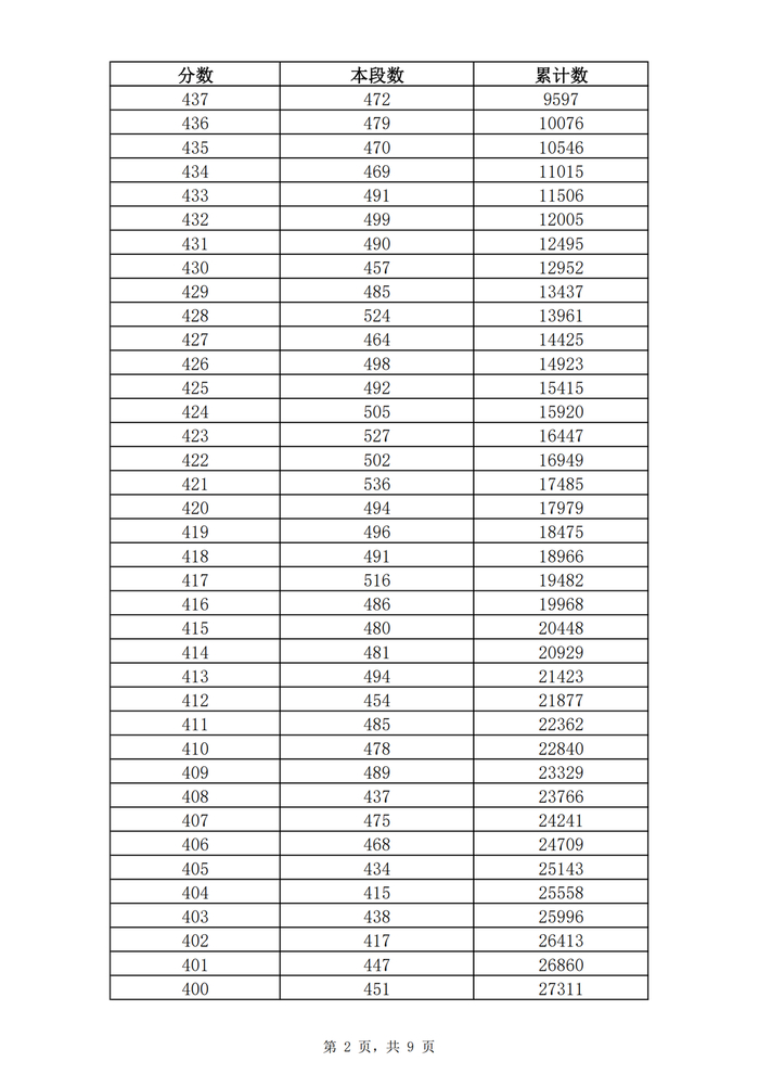
一分一段表公布

原济南地区:

一分一段表

为方便考生填报志愿,中招办在公布各类志愿填报资格线的同时,公布全市(不含莱芜区、钢城区)及市内七区(历下、市中、槐荫、天桥、历城、高新、南山)九年级学业水平考试一分一段表。

全市一分一段表

(不含莱芜区、钢城区)

市内七区一分一段表

(历下、市中、槐荫、天桥、历城、高新、南山)

原莱芜地区:

考生一分一段表

普通高中招生计划

学校招生计划

学校招生代码

指标生分配方案

网上志愿填报27个问题答疑

又到中考志愿填报季,尽管网上志愿填报系统已经不是第一年启用,但对每年的考生来说,都是第一次使用。

为了确保大家顺利填报志愿,7月2日、7月3日,全市将进行两次模拟志愿填报。

市教育局中招办的小伙伴们也认真梳理了你可能遇到的27个疑难问题,给出权威答疑指导。

Q1

如何进行志愿填报?分几个批次?

:考生须找一台能够上网的计算机,打开计算机上的浏览器(建议使用IE8浏览器),输入网址:http://xkbm.jnzk.net:8000,打开济南市高中阶段学校招生志愿填报界面,或登录市招考院网站http://www.jnzk.net,进入志愿填报界面。

志愿填报分三个批次进行,依次为第一批次、第二批次、第三批次,各批次志愿设置和志愿范围详见《2021年高中阶段学校招生填报志愿程序及要求》。每名考生最多有三次填报志愿的机会。

Q2

考生填报志愿时需要注意哪些事项?

答:一是登录填报系统前,要确定并记录自己所要填报学校的学校代码或专业代码,以免填写时间过长,网页失效,造成填报失败;二要认真浏览首页的注意事项,查看公告信息栏信息,明确填报要求;三为防止出现意外,一般应在规定时间内提前半天完成志愿填报。

Q3

考生如何报考“3+4”高等职业教育(含艺术类)、五年制高等师范教育、初中起点学前教育?

答:只能在第一批次志愿填报。其中“3+4”高等职业教育、“3+4”高等职业教育艺术类填在提前录取A志愿栏内,五年制高等师范教育、初中起点学前教育填在提前录取B志愿栏内。

Q4

“提前录取志愿”是否必须填写?对一志愿录取是否有影响?

答:提前录取志愿分A、B,由考生自主选择。A、B可两个都报,或都不报,或只报一个。录取顺序为先提前志愿A,再提前志愿B,最后录取一志愿。前面志愿已经录取的,不再考虑后面志愿。提前录取志愿未被录取的,不影响一志愿录取。

Q5

如何报考普通高中?怎么录取?

答:报考普通高中的考生,其综合素质评价总评等级、生物、地理、物理、化学、道德与法治、历史学科学业水平考试成绩均须达到 D 级(含)以上等级;信息技术、综合实验操作、音乐、美术、综合实践均须达到“合格”;2015年及以前入学的初中学生其初二生物、地理学科学业水平考试成绩须达到当年考试评价的C级(含)以上;初中学业水平考试语文、数学、英语、体育与健康四科总成绩(含特殊考生加分)达到全市普通高中志愿填报资格线(含)以上。报考提前公示对综合素质评价和等级科目有特殊等级要求的普通高中学校时,须达到报考学校对综合素质评价和学科的等级要求。

普通高中根据学生学业水平考试成绩(分数评价部分)、综合素质评价和学科等级及志愿填报情况,从高分到低分,结合等级相关要求,依据招生计划择优录取。

Q6

如何填报山东省实验中学(集团)志愿?怎么录取?

答:山东省实验中学(集团)包括山东省实验中学、济南西城实验中学(含医学中心校区)(山东省实验中学西校)、济南大学城实验高中(山东省实验中学教育集团核心学校)三所学校,使用统一学校代码“001”。山东省实验中学、济南西城实验中学(含医学中心校区)及济南大学城实验高中分别单列招生计划。填报普通高中志愿时,填写学校代码“001”,即弹出附表,包含以下内容:

首先,提示考生注意:山东省实验中学(集团)共有三个学校可供选择,考生最多可选择其中两个学校。

其次,考生可以从三个学校中,优先选择一个学校。

然后,考生可以选择如果达不到优先选择的学校分数线,是否同意从山东省实验中学(集团)剩余两所学校中再选择一所。如果同意,则可以对其次的学校进行选择,如果不同意,则仅选择了山东省实验中学(集团)内的一所学校。

注意:(1)“001”山东省实验中学(集团)在三个平行志愿填报时,仅能出现在其中一个志愿上,不能某一个志愿填报“001”某个学校后,剩余两个志愿中再填报“001”其他学校。(2)选择济南西城实验中学(含医学中心校区)时,会提示“未被济南西城实验中学录取,分数达到济南西城实验中学(医学中心校区)录取线是否同意被济南西城实验中学(医学中心校区)录取”的选项,考生要选择同意与否。

录取时,所有填报山东省实验中学(集团)志愿的考生,先按总分从高到低排序,再按选项意愿,依据山东省实验中学、济南西城实验中学(含医学中心校区)、济南大学城实验高中招生计划录取。

仅单选山东省实验中学(集团)内某个学校,与优先选择某个学校,其次又选择了另一个学校的考生,在共同参与相同学校的排队时,均使用分数优先的原则(优先录取高分考生)。

Q7

如何填报济钢高级中学兴隆校区?

答:选报济钢高级中学兴隆校区,需填写济钢高级中学的代码,此时会弹出附表,请仔细阅读附表的文字说明,并确认同意即可。

Q8

如何填报济南中学(铁一校区)与济南中学(唐冶校区)?

:济南中学(铁一校区)与济南中学(唐冶校区)使用同一学校代码,设置四个选项,考生根据自己的意愿选择一项即可。当学校填报“010”济南中学志愿时,四个选项如下:

①仅选择济南中学(铁一校区)。

②优先选择济南中学(铁一校区)。若达不到济南中学(铁一校区)录取分数线但达到济南中学(唐冶校区)录取分数线,同意到济南中学(唐冶校区)就读。

③仅选择济南中学(唐冶校区)。

④优先选择济南中学(唐冶校区)。若达不到济南中学(唐冶校区)录取分数线但达到济南中学(铁一校区)录取分数线,同意到济南中学(铁一校区)就读。

录取时,所有填报济南中学(含铁一、唐冶校区)的考生,先按总分从高到低排序,再按选项意愿,依据济南中学铁一校区及唐冶校区招生计划录取。

选择①、②、④的考生共同参与济南中学(铁一校区)排队时,或者选择②、③、④的考生共同参与济南中学(唐冶校区)排队时,均使用分数优先原则(优先录取高分学生)。

Q9

如何填报济南三中(领秀校区)与济南三中(市南校区)?

:济南三中(领秀校区)与济南三中(市南校区)使用同一学校代码,设置四个选项,考生根据自己的意愿选择一项即可。当学校填报“005”济南三中志愿时,四个选项如下:

①仅选择济南三中(领秀校区)。

②优先选择济南三中(领秀校区)。若达不到济南三中(领秀校区)录取分数线但达到济南三中(市南校区)录取分数线,同意到济南三中(市南校区)就读。

③仅选择济南三中(市南校区)。

④优先选择济南三中(市南校区)。若达不到济南三中(市南校区)录取分数线但达到济南三中(领秀校区)录取分数线,同意到济南三中(领秀校区)就读。

录取时,所有填报济南三中(含领秀、市南校区)的考生,先按总分从高到低排序,再按选项意愿,依据济南三中领秀校区及市南校区招生计划录取。

选择①、②、④的考生共同参与济南三中(领秀校区)排队时,或者选择②、③、④的考生共同参与济南三中(市南校区)排队时,均使用分数优先原则(优先录取高分学生)。

Q10

何填报山东师大附中幸福柳分校、济南外国语学校三箭分校、山东济南稼轩中学志愿?

答:选报山东师大附中幸福柳分校,需填写山东师范大学附属中学的代码;选报济南外国语学校三箭分校,需填写济南外国语学校的代码;选报山东济南稼轩中学,需填写历城第二中学的代码。填报上述三所高中学校时,会弹出附表,请仔细阅读附表的文字说明,并确认同意缴费即可。

Q11

山东省实验中学(集团)的山东省实验中学、山东师范大学附属中学如何选择校区?

答:山东省实验中学、山东师范大学附属中学的校区选择,待考生被录取后,按学校的规定选择。

Q12

如何填报五年制高职、“三二”连读高职志愿?

答:在三个志愿批次均可填报。填写学校代码、专业及是否服从专业调剂。

Q13

考生填报提前录取志愿或高职志愿时,能否只填学校代码,而不填专业代码?

答:不可以。考生必须填写至少一个专业代码,否则无法完成填报。

Q14

高职志愿不服从专业调剂,在录取时有无影响?

答:有。学校根据考生专业志愿及是否服从调剂录取。不服从专业调剂的考生,如果所报专业均已满额,学校可退档。

Q15

如何填报中等职业学校志愿?

答:中等职业学校包含普通中专、职业中专、技工学校等,统称“中职”。在三个批次填报志愿时均可填报。填写学校代码即可,考生报到时与学校商定专业。

Q16

考生有几次修改志愿的机会?为什么有时找不到修改志愿的按钮?

答:在每批次网上志愿填报时间段内,符合填报资格的考生有1次填报机会,2次修改机会。当考生修改次数用尽或打印了志愿信息单,修改志愿按钮将自动隐去。

Q17

志愿填报时,考生志愿信息单必须打印吗?

答:考生可根据自己情况自由选择打印与否。需要提醒的是:考生一旦确认打印志愿信息单,在本批次将不能再修改志愿。

Q18

考生登录系统填报志愿后能否再撤销志愿?

:考生在未考虑好所选志愿时,建议不要盲目登录系统填报志愿,因为志愿一旦填报后,只能修改,不能撤销。

Q19

在全市第三批次志愿填报时,“调剂录取”的作用是什么?

:全市第三次志愿填报时,设置学校是否同意调剂录取志愿,专指普通高中学校的调剂录取。考生可以结合自身情况自由选择同意或不同意。不同意调剂的考生,如果未被所报普通高中学校录取,将不进行调剂录取。

Q20

考生在志愿填报过程中,如何确认自己的志愿填报是否成功?

答:志愿填报流程如下:在浏览器地址栏输入http://xkbm.jnzk.net:8000或http://www.jnzk.net进入中考志愿填报系统——>选择填报志愿批次——>进入登录界面,输入正确的“用户名、密码、验证码”,点击“学生登录”——>进入系统首页,查看相关信息后,点击“志愿填报”——>选择报考学校类型,输入学校代码(部分学校需要输入专业代码)——>点击“提交”——>输入正确的确认码,点击“确认提交”——>系统显示“你已成功填报志愿”——>填报成功后,考生须再次输入正确的用户名、密码,系统显示考生的志愿信息及剩余的修改次数。以上为考生志愿填报过程中必需要完成的流程步骤,不得省略。已填报过志愿的考生,进入系统后,可通过点击“志愿浏览/打印”,再次浏览个人志愿信息。有打印志愿信息单需求的考生,可点击“打印”按钮在全市第三次志愿填报时,设置学校是否同意调剂录取志愿,专指普通高中学校的调剂录取。考生可以结合自身情况自由选择同意或不同意。不同意调剂的考生,如果未被所报普通高中学校录取,将不进行调剂录取。

进行志愿信息单打印。因点击“确认打印”后,将被禁止修改志愿,学生及家长应慎重选择该项功能。

Q21

提前录取学校、高职学校、中职学校录取时是怎样的排队原则?

答:按照计分科目总分(含特殊考生加分)从高到底排序,总分相同时按照语文、数学、外语、体育的科目顺序逐个对分数进行排序,按排序先后依次投档。投档比例为1:1。

Q22

“按专业计划投档”是怎么回事?

:部分学校标注“按专业计划投档”,是应招生学校要求严格按分专业计划录取。投档时按考生分数从高到低排列,对每个考生顺序检索考生所报三个专业,某个专业未满额即录取该专业,如所填报专业均已录取满额,但服从专业调剂,录取系统自动调剂到其他未满额专业。若所报专业均满额且不服从专业调剂,即不能录取到该学校。“按专业计划投档”的方式,同一学校的不同专业最低录取线可能不同。

Q23

什么是“平行志愿”?

答:所谓平行志愿就是在同一次志愿填报时,考生可填报若干个学校志愿,录取按“分数优先、遵循志愿”的原则进行录取。

Q24

平行志愿如何投档?

答:投档前,将所有考生按投档分数(原始分与照顾分之和)从高分到低分进行排序;

投档时,对考生的检索顺序是:先对分数最高的考生进行志愿检索,再从高分考生到低分考生依次进行检索。对每位考生志愿的检索是:按考生所报志愿先后顺序依次进行。首先检索考生报考的第一个志愿学校,当学校招生计划未满额时,该考生就被投到该学校。如果不符合第一个志愿学校投档条件,则检索该考生第二个志愿学校,依次进行。考生档案一旦投出,不再检索该生后面所报的其他志愿学校。

对同一批次的志愿,各个学校同时投档录取,投档检索只能进行一轮(即考生被投档后,若因各种原因退出,不能再投本次志愿中后面的学校)。

Q25

填报平行志愿应该注意那些问题?

答:一是正确理解平行志愿。“平行”是相对的,即在同一投档时间段内,考生所填志愿学校均有可能被检索到。检索是按考生填报志愿学校的先后顺序依次进行,填报时要注意志愿学校的排列顺序。

二是填满平行志愿,增加录取几率。如果考生少填一个平行志愿,就可能减少一次被投档机会。在选择学校志愿时,必须慎重,切忌随意。

三是合理搭配平行志愿。考生要准确定位、合理分配志愿,所填报的学校之间保持一定梯度,按“冲、稳、保”的原则选择一、二、三志愿学校,以提高志愿命中率。

Q26

艺体特长生、特色招生的志愿填报及录取规定?

答:按照有关文件规定,取得艺体特长生、特色招生测试合格通知书的考生,如果想填报特长生、特色招生志愿,须在全市第二批次填报志愿时将特长、特色测试合格的学校(如果获得多个学校的特长、特色测试合格,仅能选择其中一所)填报为第一志愿学校,如有校区选择,须把《合格通知书》标明的校区放在优先校区选项上。投档时,在该校规定的照顾条件内,按照考生成绩和招生计划,从高分到低分,择优录取。

Q27

请解释“初中后高等职业教育”是怎么回事?

答:目前我省初中后高等职业教育有以下几种类型:“3+4”高等职业教育、五年制高等师范教育、初中起点学前教育、五年制高等职业教育、三二连读高等职业教育。

“3+4”高等职业教育:俗称“3+4本科”。招收参加中考的应届初中毕业生,学制为七年(三年中专+四年制本科)。被录取为"3+4"本科的学生,前三年在中等职业学校学习,执行中等职业学校收费标准,三年后发中等职业学校毕业证。参加春季高考报名、考试,合格者进入高等院校进行四年本科学习,学习期间执行普通高校收费标准,毕业后发四年的《普通高等学校本科毕业证书》和就业报到证。(此毕业证为国家承认的全日制本科学历,注明的入学时间为3+4职业教育入学的第四年。转段相当于办理了中专毕业考入本科的录取手续,和高中毕业考入本科大学完全相同)。

五年制高等师范教育、五年制高等职业教育:招收参加中考的应届初中毕业生,达到录取分数后,进入高等院校学习,进行五年一贯制的培养(前三年按中专收费但不发中专毕业证,后两年执行高等学校收费标准)。学业期满颁发国家教育部统一印制的《普通高等学校毕业证书》和就业报到证。(此毕业证为国家承认的全日制二年制专科学历,毕业证注明的入学时间为五年制的第一年,毕业证专业部分注有五年一贯制的字样)。

三二连读高等职业教育:招收参加中考的应届初中毕业生,学制五年(三年中专、两年高职)。被录取为三二连读高职的学生,前三年在中等职业学校学习,执行中等职业学校收费标准,三年后发中等职业学校毕业证。参加转段测试,合格者进入高职院校学习两年,学习期间执行普通高校收费标准,毕业后发两年制《普通高等学校毕业证书》和就业报到证。(此毕业证为国家承认的全日制高职(专科)学历,注明的入学时间为三二连读高职入学的第四年)。

初中起点学前教育参见五年制高等职业教育或三二连读高等职业教育的培养方式。

山东商报·速豹新闻网记者 张雯雯

山东商报·速豹新闻网编辑  张蕾 马媛

加载中...