新浪新闻

科学家追踪到雨燕速度新纪录:日行830公里,或能预测风向

澎湃新闻

关注

原标题:科学家追踪到雨燕速度新纪录:日行830公里,或能预测风向

雨燕是世界上飞行速度最快的小鸟之一。在不繁殖时,普通雨燕一年中长达10个月都待在空中。科学家们曾认为,雨燕平均每天能飞行500公里。近日,发表在Cell Press细胞出版社旗下期刊iScience(《交叉科学》)上的新证据显示,这只是一个保守的估计。

研究人员根据新的跟踪数据发现,普通雨燕平均每天能飞行570公里,而且它们能够飞得更远、更快。研究记录的最大距离是9天内每天飞行超过830公里。该研究题为“Wind-assisted sprint migration in northern swifts”。

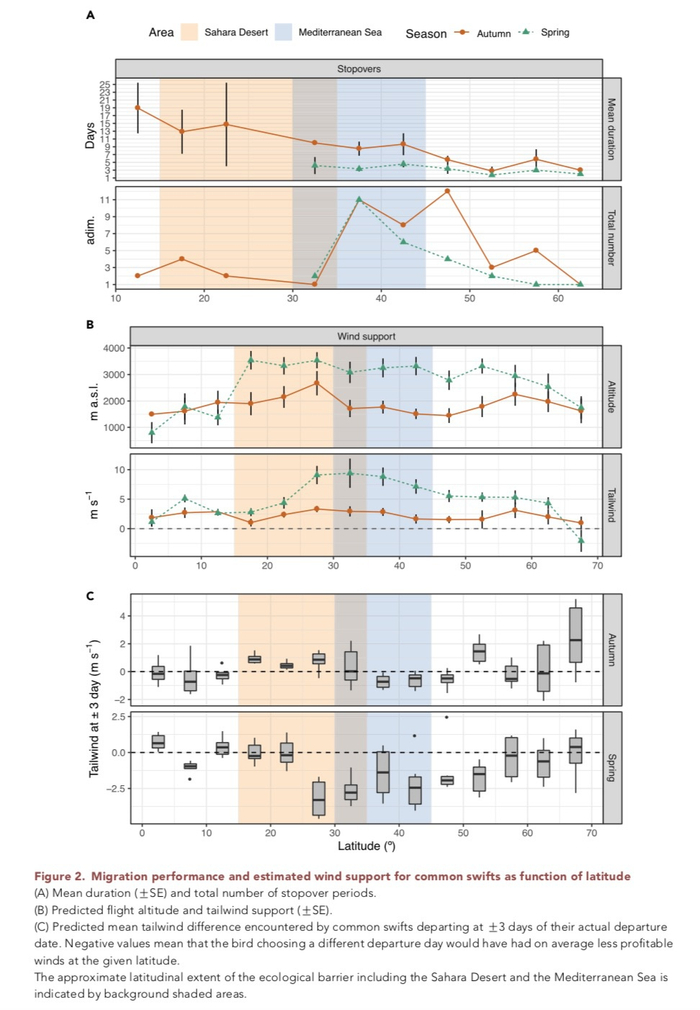
“我们发现,在欧洲繁殖范围最北部的普通雨燕的迁徙速度是有记录以来最快的,超过了预测。”研究通讯作者、瑞典隆德大学的Susanne Åkesson说,“雨燕似乎通过使用混合迁徙策略在春季长距离(平均单程约8000公里)迁徙时实现了高速飞行。它们采用飞行—觅食策略,这意味着每天都要进食。” Åkesson及其同事使用了基于光定位的微型追踪技术,从欧洲最北部的繁殖地点之一追踪成年繁殖雨燕。因为这些鸟喜欢栖息于繁殖地,因此Åkesson团队能够在一个迁徙季节后重新获得雨燕的许多数据。

正如预期的那样,追踪数据显示雨燕会达到异常高的整体迁徙速度。雨燕通过飞行—觅食策略实现了这些壮举,这种策略适用于那些在长途旅行前很容易找到食物的物种。雨燕主要以飞虫为食。

Åkesson解释称,“这一策略将大幅降低旅行成本,因为它们不需要携带那么多‘燃料’,这将提高迁移速度。” 不过,研究发现,雨燕还有另一个窍门,它们似乎会安排好出发时间,以便风向对飞行有利。她说,“这意味着它们不会直接对当地风做出反应,而是会对未来几天沿途的风做出反应。”
目前还不清楚雨燕是如何预测风向并据此做出决定的,但Åkesson认为它们可能依赖于与天气系统相关的气压。无论如何,这种选择性离开策略意味着雨燕在春季飞行,能比秋季多获得20%的顺风支持。这使得它们能以最大的速度穿越撒哈拉沙漠和地中海。 “与其他候鸟相比,普通雨燕的飞行速度并不特别出众(大约10米/秒)。”Åkesson说,“但这些策略有助于提高整体迁徙速度。此外,它们对顺风的选择性利用促进了更高的迁徙速度,这可能解释了它们如何在春季迁徙时达到预测的最大速度。”

研究人员同时指出,由于人类使用杀虫剂,雨燕的生活方式和对昆虫的依赖可能会使它们处于危险之中。气候变化和不断变化的天气或风向也可能对这些飞行者产生未知的影响。

论文链接:https://www.cell.com/iscience/fulltext/S2589-0042(21)00442-9

加载中...