新浪新闻

广州三级医院核酸检测约75元! 167家机构可检测

政府网站

关注

原标题:广州三级医院核酸检测约75元! 167家机构可检测

广东省新型冠状病毒肺炎疫情最新情况

1月22日0-24时,全省新增境外输入确诊病例1例,江门报告,来自孟加拉国。新增境外输入无症状感染者4例,广州报告1例,来自菲律宾;深圳报告3例,其中2例来自南非,1例来自美国。新增出院3例。

截至1月22日24时,全省累计报告新冠肺炎确诊病例2099例(境外输入703例)。目前在院39例。

广州三级医院核酸检测约75元!

167家机构可检测

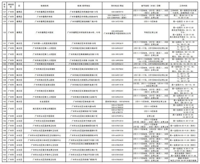
1月22日,广州市卫生健康委发布广州市最新的167家开展新冠病毒“愿检尽检”检测服务点相关信息,并对大众关心的问题进行了答疑。

1.目前,广州全市有哪些医疗机构可以做新冠病毒核酸检测?市民是否可以直接前往门诊检测?如需要预约,可以在哪些渠道挂号预约?

答:全市可以做新冠病毒核酸检测的医疗机构共计167家,市民朋友可按照方便、就近的原则,自行选择适合自己的检测点,提前预约检测时间,到达医院后应按照医院工作人员指引,有序排队等候,避免人员聚集。

滑动查看广州市医疗机构服务点名单↓

2.新冠病毒核酸检测的价格是多少?

答:按照《广东省医疗保障局 广东省卫生健康委员会 广东省药品监督管理局关于做好新型冠状病毒检测试剂集中采购和服务项目价格管理工作的通知》文件要求,医疗机构核酸检测费用(不含普通门诊诊查费)由各类病原体RNA检测服务价格+集中采购试剂价格构成。其中不同级别医疗机构核酸检测服务价格不一致,检测试剂的价格也不一致。一般三级医院检测费用约75元。

3.全市新冠病毒检测能力如何?一般多久能拿到结果?

答:在核酸检测方面,全市核酸检测能力达到70万份/天,可以满足市民朋友接受新冠病毒核酸检测的需要。

市卫生健康部门严格按照核酸检测重点人群分类,有序指导各机构逐步缩短核酸检测结果反馈时间,对于发热门诊患者的核酸检测,6小时内报告结果;对于普通门(急)诊、住院患者及陪护人员等人群的核酸检测,原则上在12小时内报告结果;对于“愿检尽检”人群的核酸检测,一般在24小时内报告结果。鼓励各机构结合实际,进一步缩短核酸检测结果报告时间。

4.市民做新冠病毒核酸检测前有什么注意事项?

答:个人携带身份证前往检测点,要注意以下事项:

为避免出现呕吐情况,采样前2小时勿进食;为避免影响检测结果,采样前30分钟勿吸烟、喝酒和嚼口香糖;采样前,告知采集人员既往病史,如鼻腔手术史、鼻中隔偏曲、血液病、咽喉疾病,或服用抗凝药等。

咽拭子采样时,头后仰,尽量放松,深呼吸,张口发出“啊”音,充分暴露咽喉部。

鼻拭子采样时,需准备好纸巾,采样者需站在被采集者的侧方,精神放松,头后仰70度,深吸气后采样,鼻拭子采样不适合于有鼻炎、鼻甲肥大或鼻中隔偏曲等人群。

5.在广州做的核酸检测的结果是否到全国各地都有效?

答:我们已经将广州167家的核酸检测结果全部按要求上传省新冠病毒检测信息系统,并及时同步至国家平台,粤康码和穗康码平台也与该系统对接,在检测机构发放检测结果报告后的2-4小时后,可以实现在个人粤康码、穗康码的查询,全国通用。

6.关于核酸检测事宜有什么咨询渠道?

答:有关核酸检测事宜,可以咨询12320。

肇庆初筛发现的新冠肺炎阳性人员

核酸复核阴性

1月22日,肇庆市卫生健康局发布,肇庆市第一人民医院在对“应检尽检”的重点人群筛查时发现1例核酸初筛阳性人员(邓某某,女,39岁)。经复核,核酸检测结果阴性。

罗定情况通报:

密切接触者核酸检测结果均为阴性

1月22日,据罗定市卫生健康局消息,2021年1月22日,肇庆市通报初筛发现一例新冠病毒核酸阳性人员,后经复核为阴性。根据肇庆市通报信息,罗定市立即追踪、管控密切接触者,并采样检测新冠病毒核酸,结果均为阴性。

一份进口车厘子,检出阳性!

1月22日,江苏省无锡市梁溪区疾病预防控制中心发布情况通报:

1月21日,梁溪区疾病预防控制中心在对进口食品开展常态化监测中,发现一份进口车厘子(生产日期:2020.12.18)内表面核酸检测阳性。区防疫指挥部立即启动应急预案,第一时间赶赴现场处置。经查,该批次食品部分流往市内梁溪区、惠山区和滨湖区。区指挥部及时落实流行病学调查、核酸采样、密切接触者集中隔离、剩余食品封存、环境全面消杀等措施,梁溪区、惠山区和滨湖区共采集环境、物品、人员标本199份,检测结果均为阴性。

来源 | 广东卫健委、南方+客户端、央视新闻

编辑 | 卓佩仪

加载中...