新浪新闻

七个电学计量单位是怎么来的?| 世界计量日

澎湃新闻

关注

原标题:七个电学计量单位是怎么来的?| 世界计量日

原创 流熵、刘景峰 返朴

1999年,第21届国际计量大会把5月20日设立为“世界计量日”,以纪念1875年“米制公约”签署,这项协议为后来国际计量标准的统一奠定了基础。在国际单位制中,为了纪念那些伟大的科学家做出的贡献,许多单位用了他们的名字作为单位名称,其中与电磁学直接相关就有10位。今天,在这个特别有爱的日子里——让我们看看与生活息息相关的电磁学单位,以及它们背后科学家的故事。

撰文 | 流熵、刘景峰

因发明元素周期表而闻名世界的俄国化学家门捷列夫(Дми́трий Ива́нович Менделе́ев 1834-1907)曾说过:“没有测量,就没有科学。”计量正是关于测量的科学,是实现单位统一和量值准确可靠的活动,也是支撑社会、经济和科技发展的重要基础。

麦克斯韦的思想使计量单位进入新时代

计量单位又称测量单位,是用来度量、比较同类量大小的一个标准量或参考。比如,比较质量时我们用“千克”,比较长度时我们用“米”等单位。而法定计量单位则是国家以法令的形式规定使用的计量单位。

我国是世界上最早统一度量衡的国家之一。秦始皇统一中国后便颁发了统一度量衡诏书,对长度、容积、质量做出了精准定义,制定了一套严格的管理制度,结束了原来各战国之间的混乱、多样的计量单位,方便了国家治理和民间生产生活往来。而同时期的古埃及、古罗马等国家也都发明了各自的计量制度。彼时,国家之间来往尚不密切,科学技术发展还在初始阶段,计量单位不统一、不精确的问题对当时世界的发展造成的困扰尚不明显。

然而,进入近代社会以来,尤其近两百年来,计量单位的统一及精确度的需求大大提高。各国之间交往越来越频繁,各领域科学技术大爆发大发展,工业化程度越来越高,这些都需要统一及精确的计量单位作为支撑。

为了适应工业生产科学技术和国际贸易的发展,保证世界范围内计量的统一,法、俄、德等17个国家在1875年5月20日签署了一项以“米制”为基础的国际公约。成立米制公约国际组织后,各国的计量单位制取得巨大突破,后来越来越多的国家加入米制公约,世界范围内计量单位逐渐走向统一。这一时期,电磁学刚刚完成了电学、磁学和光学的统一,与计量体系不断完善之路同行,以奔涌之势把近代科学乃至人类文明带入了前进的快车道。

一米的长度最初定义为通过巴黎的子午线上,从地球赤道到北极点的距离的千万分之一,后来以这个长度制作了国际米原器——铂杆。而时间的计量单位,最初从人们认识“一天”开始,基于地球公转太阳的周期来定义。虽然,这种以地球的大小和运动作为计量基础的方法赢得了当时世界范围的共识,但随着天文学和地理学的发展,人们认识到这个基础并不是永久而牢固的。

伟大的理论物理学家和思想家,电磁学的集大成者和奠基人麦克斯韦(James Clerk Maxwell,1831—1879)在其代表著作《电磁论》(Treatise on Electricity and Magnetism) 中曾指出:“从数学的观点看,任何一种现象的最重要方面就是可测量的问题。”他不但对计量的科学价值高度重视,还提出了提高计量精度的革命性思想,改变了计量的发展方向和历史进程。他说:“如果希望得到绝对恒久的标准,我们不能以地球的大小或运动来寻找,而应以波长、振动周期和这些永恒不变的绝对数值,来寻找这些永恒不变且完全相似的计量单元。”[1]

麦克斯韦利用电磁波(光波)的波长测量距离和频率定义时间的理想,虽未能在他所生活的时代实现,但他这一科学预言极具震撼力和前瞻性。电磁波的基本公式(传播速度=波长×频率, c=λf ) 不但揭示了电磁波速度的恒定值与波长和频率的关系,还揭示了空间(长度)和时间(频率)之间对应与统一的联系。

1967年召开的第13届国际计量大会[2]对秒的定义改为:铯133原子基态的两个超精细能阶之间跃迁时所对应辐射电磁波的9,192,631,770个周期所持续的时间。这个定义提到的铯原子必须在绝对零度时是静止的,而且所在的环境是零磁场。这就是我们通常所说的国际原子时,原子钟的精度可以达到每100万年才误差1秒,直到现在 “秒”的定义仍由铯原子喷泉钟保持。

20世纪70年代,由于激光技术的发展,光速的测定已非常精确。1983年国际计量大会重新制定米的定义:“光在真空中行进1/299,792,458秒的距离”为1标准米。麦克斯韦的思想突破了技术条件的限制,他的计量预言在身后一百多年得以完美实现。从这个角度可以说,麦克斯韦及其电磁学思想,把科学与计量从牛顿力学时代引向了量子时代。

1999年,在第21届国际计量大会在法国巴黎召开,为了使各国政府和公众了解计量,鼓励和推动各国计量领域的发展,加强各国在计量领域的国际交流与合作,大会确定每年5月20日为世界计量日。今天恰逢世界计量日,本文通过梳理电磁学中的计量单位,和大家一起回顾电磁学的发展历程,向伟大的科学家们致敬。我们共梳理出10个电磁学计量单位,其中前7个为电学基础单位,后3个单位则用在磁学和频率的计量中,分为前后两篇文章进行介绍。

十大电磁学国际单位制

根据国际计量大会规定,现在通行的国际单位制(SI)[3]有7个基本单位,它们好比七块彼此独立又相互支撑的“基石”,通过这7个基本单位能够导出所有其他的物理量单位,构成了国际单位制的基础。同时,为了方便使用,国际计量大会又规定了19个具有专门名称的SI导出单位。

表1:国际单位制中的7个基本单位

表2:国际单位制SI导出单位

在科学史上,为了纪念那些做出重大贡献的科学家,以他们的名字来命名国际计量单位已成为一种惯例,也是至高荣誉。在电磁学领域,有10位科学家的名字作为了国际单位制计量单位,他们是:安培、库仑、伏特、法拉、欧姆、西门子、亨利、赫兹、韦伯和特斯拉。正是这些彪炳史册如雷贯耳的名字,奠定了电磁学乃至现代科学的巨厦之基,他们的成就如同璀璨明珠几乎串联起了整部电磁学史。今天让我们透过这些名字来探究其背后的电磁学发展之路。

1

电流(I)的单位:安培(符号A)

安培是国际单位制中7个基本单位之一。当初引进安培这个单位就是因为随着电磁学的发展,原有的基本单位(长度、时间、重量等)已经不够用了。如果仍然用原来的基本物理量推导出其他物理量,不仅繁琐,而且会推导出荒谬的结论。因此,在1881年国际电学大会[4]上正式决定增加个基本量:电流强度(I),并把它的单位命名为安培(A)。

安培(André-Marie Ampère,1775 — 1836),是法国著名的物理学家、化学家。在家庭的影响下,安培自幼开始自学数学、拉丁文、历史、哲学等,尤其在数学方面更是有着异人的天赋。安培对自然科学有着近乎痴迷的学习热情,从那个有名的小故事中我们就能看出他对自然科学痴迷程度。为了不让别人打扰他,安培在自己家的门口写了“安培不在家”的提示牌。一天,他从外面走路回家时,头脑中还思考着自己研究的东西,结果自己走到门口时,叹了一声,“哎,原来安培不在家啊。”于是他扭头又走了。

1820年7月,丹麦物理学家奥斯特通过一个无意的实验,即奥斯特实验,发现了通电导线的瞬间会使磁针发生偏转。正是这个实验揭开了电磁学的大幕,人类开始深入了解并研究电与磁之间的关系。

图1:奥斯特实验

当时45岁,已经是法兰西科学院院士的安培马上意识到这是个重大的发现,他立刻开始重复奥斯特的实验,并进一步深入拓展,总结出了“安培定则”。安培定则1:用右手握住通电直导线,让大拇指指向电流方向,那么弯曲四指的指向就是磁感线的环绕方向。安培定则2:用右手握住螺旋线管,让四指指向螺旋线管中的电流方向,则拇指所指的那端就是螺旋线管的N极。因此安培定则也叫右手螺旋法则,是我们高中物理必学的内容之一。

图2:安培定则1

图3:安培定则2

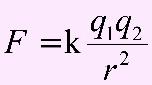
同时,安培证明了安培力定律:两根平行通电直导线,电流同向时,相互吸引;电流反向时,相互排斥。他还总结出两个电流元之间的作用力正比于它们的长度(ΔL1, ΔL2)和电流强度(I1,I2),而与它们之间距离(r)平方成反比,即著名的安培定律。当两导线平行时,公式可以简化为F=K*(ΔL1I1)(ΔL2I2)/r2。奥斯特发现了电流对磁体的作用,而安培发现了电流对电流的作用,这无疑是巨大的突破。

图4:安培定律示意图

国际单位制中安培的定义也先后发生过几次改变。1908年在伦敦举行的国际电学大会上,定义1秒时间间隔内从硝酸银溶液中能电解出1.118毫克银的恒定电流为1安培。1948年,国际计量委员会给出安培的定义为:在真空中,截面积可忽略的两根相距1米的平行且无限长的圆直导线内,通以等量恒定电流,导线间相互作用力在1米长度上为2×10-7牛时,则每根导线中的电流为1安培。2018年11月16日,第26届国际计量大会通过“修订国际单位制”决议,将1安培定义为“1s内(1/1.602176634)×1019个电荷(电荷的定义及计量见下文)移动所产生的电流强度”。此定义于2019年5月20日世界计量日起正式生效。

1820年,安培首先引入了电流、电流强度等名词,还制造了第一个可测量电流的电流计。此外,安培还提出了分子电流假说,他认为,电和磁的本质是电流。1827年他的《电动力学理论》一书出版,该书被认为是19世纪20年代电磁理论的最高成就。

图5:安培画像

2

电量(Q)的单位:库仑(符号C)

库仑(Charlse-Augustin de Coulomb,1736-1806)是法国著名的物理学家,早期研究静电力学的科学家之一。他因发现静电学中的库仑定律而闻名于世。库仑定律指两个电荷间的力与两个电荷量的乘积成正比,与两者的距离平方成反比。该定律也是电学发展史上的第一个定量规律,它使电学的研究从定性进入定量阶段,是电学史中的一块重要的里程碑。

18世界初,虽然人们对静电已经有了一定的认识,如英国人格雷(Stephen Gray 1666-1736)在1720年研究了静电的传导现象,发现了导体和绝缘体的区别;美国的富兰克林(Benjamin Franklin,1706-1790)提出了正、负电荷的概念和电荷守恒原理,但都基本都只限于定性认识,很难开展定量研究。这是由于静电力非常小,在当时没有测量如此微小力的工具。库仑就是这时候天才般的发明了扭称实验,通过这个实验得出了库仑定律。

图6:库仑扭称实验示意图

库仑所用的装置如下:一个玻璃圆缸,在上面盖一块中间有小孔的玻璃板。小孔中装一根玻璃管,在玻璃管的上端装有测定扭转角度的测微计,在管内悬一根银丝并伸进玻璃缸内。悬丝下端系住一个小横杆,小横杆的一端为木质小球A,另一端为平衡小球,使横杆始终处在水平状态。玻璃圆筒上刻有360个刻度,悬丝自由松开时,横杆上小木球A指零。

库伦使固定在底盘上的小球C带电,再让两个小球A、C接触后分开,以致两个小球均带同种等量电荷,两者互相排斥。带电的木质小球A受到的库仑斥力产生力矩使横杆旋转,悬丝也扭转形变产生扭转力矩。因为悬线很细,作用在球上很小的力就能使棒显著地偏离其原来位置。当悬丝的扭转力矩和库仑力力矩相平衡时,横杆处于静止状态。

库仑改变底盘上带电球C和横杆上带电小球A之间的距离,作了三次记录。第一次,两球相距36个刻度,测得银丝的旋转角度为36度。第二次,两球相距18个刻度,测得银丝的旋转角度为144度。第三次,两球相距8.5个刻度,测得银丝旋转的575.5度。上述实验表明,两个电荷之间的距离为4:2:1时,扭转角为 1:4:15.98。库仑认为第三次的偏是由漏电所致。经过误差修正和反复的测量,并对实验结果进行分析,库仑终于得到了两电荷间的斥力即库仑力的大小与距离的平方成反比。

其中k是静电力常量,约为9×109N·m2/C2。这个常量并不是由库仑计算得来的,而是由一百年后的麦克斯韦根据理论推导得出的。这和引力常数的得出过程有着惊人的相似!在牛顿发现万有引力定律F=GMm/r2时,牛顿本人并不知道引力常数G是多少,直到100多年后,才由英国的科学家卡文迪许(Henry Cavendish,1731-1810)通过类似的扭称实验装置计算出来。

图7:卡文迪许测量万有引力示图

而单个电荷量也不是由库仑测得的,但这并不妨碍库仑的伟大。要知道,由于科技水平和物质条件的限制,在遥远的18世纪,库仑就能用这么巧妙的实验装置,放大并显示了这么微小的力,已经难能可贵了。

电量表示物体所带电荷的多少。实际上1库仑(C)的电量是比较大的,因为电荷的电量非常小,一个电子的电量仅为1.60×10-19 C,1C 就相当于6.25×1018个电子带电量。它和我们前面讲过的电流之间的关系是,电量等于电流强度(单位A)与时间(单位s)的乘积,公式表达为Q=I t。因此1C就表示1A电流在1s内输运的电量。1881年的国际电学大会上,电容的单位被定义为库仑。

自然界中基本相互作用已知有四种:万有引力、电磁力、强相互作用力和弱相互作用力。强相互作用力、弱相互作用力是一种短程力,其作用距离不超过原子核线度。在微观世界中,万有引力与强相互作用力、弱相互作用力、电磁力相比是可以忽略不记的,比如电子与质子之间的库仑力(电磁力的一种)约是万有引力的1039倍,而强相互作用力比电磁力还要大。因此,在微观领域,起作用的是强相互作用力、弱相互作用力、电磁力。理论认为,强相互作用、弱相互作用和电磁相互作用可以统一成一种相互作用。而万有引力定律和库仑定律在形式上的相似性,是否意味着这两种作用的某种内在的质的统一性?这还是一个谜,有待人们去揭示。

图8:四种相互作用示意图

3

电压(U)的单位:伏特(符号V)

伏特(Count Alessandro Giuseppe Antonio Anastasio Volta,1745年-1827年),是意大利的一名物理学家。在伏特之前,人们只能应用摩擦发电机,再将电存放在莱顿瓶中储存,以供使用。这种方式相当麻烦,所得的电量也受限制。1800年,已经55岁的伏特发明了伏特电堆,其实就是电池,不过在早期是被称为“电堆”,这可能跟它的形状有关(如下图所示)。伏特的这项发明使得电的取得变得非常方便。

图9:伏特电堆原理图

图10:伏特亲手制作的伏特电堆

实验中,他把金属银条和金属锌条浸入强酸溶液中时,发现在两个金属条之间竟然产生了稳定而又强劲的电流。于是,他把浸透盐水的绒布或纸片垫在锌片与银片之间,平叠起来。伏特用这种化学方法成功地制成了世界上第一个伏特电推。伏特电堆实际上就是串联的电池组,也是我们现在所用电池的原型。伏特电池的发明,使得科学家可以用比较大的持续电流来进行各种电学研究。伏特电池是一个重要的起步,它带动了后续电气相关研究的蓬勃发展。

1807年,法国军团征服了意大利,法兰西第一帝国皇帝拿破仑特意在巴黎接见了伏特。为了表彰他对科学所作出的贡献,1810年拿破仑封他为伯爵,并给予了伏特一大笔钱。1827年3月5日,伏特去世,终年八十二岁。为了纪念他,1881年国际电学大会将电动势(电压)单位取名伏特(V)。

图11:伏特画像

图12:伏特为拿破仑演示伏特电堆

电压是推动电荷定向移动形成电流的原因。电流之所以能够在导线中流动,是因为在电流中有着高电势和低电势之间的差别。这种差别就叫电势差,也叫电压。换句话说,在电路中,任意两点之间的电位差称为这两点的电压。

在国际单位制中,1伏特定义为对每1库仑的电荷做了1焦耳的功。具体实践来讲,我们在日常生活中会经常接触电压和伏特(简称伏)这个两个名词,可以说所有电器都离不开电压这个基本的单位量。如7号电池上会注明1.5V,表示可以提供1.5V的电压输出;国内的手机、笔记本的充电器上一般都会有“输入AC100-240V”字样,它表示充电器需要插在100-240V的交流电源上;我们轿车上的电瓶电压一般是12V左右。

图13:从左往右依次:7号电池、笔记本充电器、手机充电器、汽车电瓶

4

电阻(R)的单位:欧姆(符号Ω)

欧姆(Georg Simon Ohm,1787-1854),德国的物理学家,因发现欧姆定律而被世人所知。欧姆定律的公式是R=U/I,或U=IR。它表示在一段电路中,电流与电阻的乘积等于电压。欧姆定律以清晰的概念、简明的形式,把握了电路现象的本质和规律;它不仅是直流路计算的基础,也是交流电路及电路微观过程定量关系的客观反映。我们在初中时便都学会了这个简单的基本公式,可在当年人们连电压、电阻这些概念还不是十分清楚的时候,欧姆能够通过实验的方法得出这个定律,是相当的厉害!

欧姆在1813年博士毕业后一直在中学当老师,由于他一直喜欢研究电学和动手制作实验装置,因此他一边教学一边钻研刚刚兴起的电学。当时已经有人开始研究金属电导率,人们发现不同金属、不同长度、不同横截面的金属导体在电路中对电流不同的影响。于是在前人的基础上,欧姆利用库仑在1785年发明扭称实验,伏特1800年发明电池,安培1820年引入电流强度的概念等等,制作了巧妙的测量装置,并经过了大量的了实验、推理、计算,最终于1826年确定了欧姆定律。1881年国际电学大会将电阻的单位定为欧姆(Ω)。

图14:欧姆

图15:欧姆1826年论文中的实验装置图

我们现在知道,导体对电流的阻碍作用就叫该导体的电阻。它在物理学中表示导体对电流阻碍作用的大小。导体的电阻越大,表示导体对电流的阻碍作用越大。电阻也是导体本身的一种特性,与它是否在电路中无关。它的大小与导体的材料、长度、横截面和温度都有关系,其公式为R=ρL/S,其中ρ为导体的电阻率,电阻率与导体的材料和温度有关。随着科学的发展,科学家发现某些物质在很低的温度时,如铝在-271.76℃以下,铅在-265.95℃以下,其电阻竟然变成了零,这就是超导现象。如果把超导现象应用于实际,制成超导材料,将给人类带来很大的好处。比如在电厂发电、运输电力、储存电力等方面采用超导材料,可以大大降低由于电阻引起的电能消耗。再比如,用超导材料制造电子元件,由于没有电阻,不必考虑散热的问题,元件尺寸可以大大的缩小,进一步实现电子设备的微型化。超导材料研究是当今材料科学领域的前沿,必将在未来大放异彩。

图16:西南交通大学搭建的超导磁悬浮列车实验线平台

5

电容(C)的单位:法拉(符号F)

电容是指容纳电荷的能力,也叫电容量,它是一种容纳电荷的器件,单位用法拉(F)表示。它的数值越大,表示它能装下的电荷越多;数值越小,能装下的电荷就越少。

图17:电容结构示意图

电容器的组成也比较简单,两个相互靠近的导体极板,中间夹一层不导电的绝缘介质,就构成了电容器。当电容器的两个极板之间加上电压时,电容器就会储存电荷。电容器的电容在数值上等于一个导电极板上的电荷量(Q)与两个极板之间的电压(U)之比,用公式表达为C=Q/U。如果一个电容器带1库仑电量时,两极板间电压是1伏特,这个电容器的电容就是1法拉。

前面我们讲电量时提过,1库仑是相当大的电量,由此,1法拉也是相当大的电容。我们实际的电子电路中很少用到法拉(F)这个单位,用到更多的是微法(μF)、皮法(pF)。他们之间的换算关系是:

1法拉(F) = 1×106微法(μF)

1微法(μF)= 1×106皮法(pF)

既然法拉单位这么大,为什么我们法拉定义成电容的单位呢?这要从电磁学的一位大神级人物——法拉第说起。

法拉第(Michael Faraday,1791-1867),英国杰出的物理学家、化学家。法拉第出生于一个乡村铁匠的家庭,小时候由于家里贫穷只上了两年的小学。辍学后,他开始当报童卖报,当学徒给老板干活。小法拉第特别喜欢读书,尤其是科学方面的书籍,他找到一本读一本并认真思考做笔记,同时他还喜欢听各种学术讲座。在他22岁时,当时英国鼎鼎有名的化学家戴维(Humphry Davy,1778—1829)独具慧眼,招收了这个勤奋好学的小学徒做他的助手。从此,法拉第踏上了探索科学的道路。

1820年,丹麦物理学家奥斯特(Hans Christian Ørsted,1777-1851)发现了电流的磁效应,这一发现引起了很多科学家的注意。

法拉第在对奥斯特实验进行详细研究后,一直在思考,既然电能产生磁,那么磁也应该能够产生电,但是如何才能够实现呢?终于在1831年8月,法拉第做了一个装置,如下图所示。

他在软铁环两侧分别绕两个线圈,其一为闭合回路,在导线下端附近平行放置一磁针,另一与电池组相连,并接开关,形成有电源的闭合回路。实验发现,合上开关,磁针偏转;切断开关,磁针反向偏转,这表明在没有电池的线圈中出现了感应电流!法拉第发现了电磁感应现象!

在此之后,他根据电磁感应原理亲手制作了世界上第一台“发电机”,这一原型使电能大规模生产和远距离输送成为了可能。电磁感应现象是电磁学中最重大的发现之一,它揭示了电、磁现象之间的相互联系,并对麦克斯韦电磁场理论的建立也具有重大意义!

图18:法拉第发现电磁感应示意图

图19:法拉第圆盘发电机

除此之外,1837年,法拉第引入了电场和磁场的概念,指出电和磁的周围都有场的存在,这打破了牛顿力学“超距作用”的传统观念。1881年国际电学大会用“法拉”做电容的单位,就是为了缅怀这个名叫法拉弟的牛人!

6

电感(L)的单位:亨利(H)

电感表示闭合回路的一种属性。当电流通过线圈后,在线圈中会形成磁场感应,这个感应磁场又会产生感应电流来抵制通过线圈中的电流。这种电流与线圈的相互作用关系称为电感,以符号L表示,单位是亨利(H),简称亨。电感是自感和互感的总称。

图20:电感示意图

电感器一般由骨架、绕组、屏蔽罩、封装材料、磁芯或铁芯等组成,它能够将电能转化为磁能存储起来,在适当的时候又能释放出去再转化成电能,它的核心作用就是电磁转换。

在前面我们讲法拉第进行电磁感应实验,他所用缠在软铁上的线圈其实就是电感。任何导线在通过电流的时候都会产生磁场,把导体(导线)绕成螺旋状,磁场就会被聚集,绕的圈数越多磁场强度也就越大,产生的能量也就越大,所以电感器的实质其实就是一个被绕成螺旋状的导线。

图21:各式各样的电感

电感L的大小取决于绕线圈数,磁芯的磁导率,磁芯的截面积和有效磁路长度,它不会因为电流或者频率的增高而增大。电感单位除了亨利(H)之外,还有毫亨(mH)、微亨(μH),换算关系为:1H=1000mH,1mH=1000μH。

电感的单位是为了纪念美国著名的物理学家亨利(Joseph Henry 1797-1878),而以他的名字命名的。在列举了这么多欧洲(德、法、英、意)的科学家计量单位名字后,终于有一位非欧洲的科学家了。

图22:约瑟夫亨利

亨利所生活的18世纪早期,世界科学的中心在欧洲。美国当时处在建国初期,主要依靠移植欧洲现有的技术,以及借助欧洲人发现的科学原理开发新技术来发展经济。美国政治家、发明家富兰克林(Benjamin Franklin 1706-1790)进行了轰动欧洲科学界的电磁相关研究之后的70年间,电磁学研究在美国几乎无人问津。同时,美国的科学界也普遍存在着重视技术发明而忽视基础理论科学研究的倾向,但亨利却一直对电磁学非常感兴趣,潜心研究电磁学相关课题。

18世纪初在奥斯特发现了电流的磁效应后,一些科学家开始用通电螺线管使钢针磁化(安培通过这个实验研究出了安培定则,法拉第受这个实验启发发现电磁感应,可见奥斯特的这个实验对后人有多么的启发意义)。1825年,英国科学家斯特金(William Sturgeon,1783-1850)在一块马蹄形软铁上涂上了一层清漆,然后在上面间隔绕 18圈裸导线,通电后就成了电磁铁,吸起了约4KG的重物。这一实验引起科学家的极大兴趣,亨利正是其中之一。他开始着手改进电磁铁。1831年他成功研制出一个能吸起约1吨重物的电磁铁。

亨利对电磁铁进行了改装。他在小电磁铁附近加一带弹簧的小铁片,弹簧的另一端固定,当电磁铁接通电时,小铁片被电磁铁吸引,切断电源,铁片又被弹摘拉回原处,在这过程中小铁片来回动作,撞击电磁铁发出“滴嗒嘀嗒”的声音。这就是最早、最原始的继电器。继电器对电报的发明极为重要。亨利对电报的发明人莫尔斯(Samuel Finley Breese Morse,1791-1872),电话的发明者贝尔(Alexander Graham Bell,1847年-1922年)都有过极大的帮助,贝尔甚至说“如果我没有遇到亨利,我可能就不会发明电话了”。

图23 电磁铁示意图

图24 继电器示意图

1829年8月,亨利发现线圈在断开电源时产生了电火花。1832年,他在《美国科学学报》发表了题为《关于磁生电流与电火花》的论文,这是关于自感现象最早的研究。他在1835年发表的另一篇论文中还详细介绍了自己关于发现自感实验过程。由于当时没有适当的仪器,他甚至用人体受自感电动势的电击——他称之为“直接受震法”,以验证自感电动势的存在以及感觉它的强弱。

1893年8月,在美国芝加哥召开的国际电学大会上,来自9个国家的26位科学家代表一致通过正式命名“Henry”为电感的标准单位,“亨利 (Henry) ”与“法拉”、“欧姆”、“安培”一样成了世界通用的计量术语。美国人的姓氏被用作科学计量上的标准单位,这在美国科学史上还是第一次。

7

电导(G)的单位:西门子(符号S)

电导代表某一种导体传输电流能力的强弱程度。电导值越大,导体传输电流的能力就越强。电导越小,导体传输电流的能力就越弱。看到这一物理量,我们马上就会想起另外一个物理量——电阻(R)。电阻表示的是导体对电流阻碍作用的大小。所以我们不难看出,电导和电阻是描述导体传输电流能力的两个不同角度。在纯电阻线路中,电导和电阻互为倒数,其换算公式为G=1/R。

为什么有了电阻后还要有电导这个参数呢?因为在某些场景下,用电导更容易理解和使用。比如,在并联电路中求总电阻,我们需要将各电阻倒数相加再求倒数,而用电导,我们只需要将各电导直接相加就可以得到总电导。再比如我们在测量一些电解质溶液的导电能力时,常用到的参数就是电导率,通过测定电导率我们就可以知道这些液体的导电能力如何,离子浓度甚至含盐量大小。这样更方便我们理解,也更好描述液体在导体方面的特性。

图25:并联电阻计算公式

图26:电导仪

电导的单位为西门子(S),这是为了纪念德国的发明家、企业家维尔纳·冯·西门子(Ernst Werner von Siemens,1816-1892)。很多时候,我们会把西门子看成德国的一家大型企业,我们对西门子的印象和认知可能更多的来自于这家企业的产品。的确,这家企业就是由西门子在1847年创立的,至今已有170多年的历史了。目前,西门子公司业务主要集中在信息通讯、自动化控制、电力、交通、医疗系统和照明六大领域,业务遍及全球190多个国家和地区,全球有超过40万雇员。按照2019年其营业收入988亿美元,西门子公司名列世界五百强企业第70位。

西门子生活的时代正是第一次工业革命刚刚完成,人类正在向第二次工业革命进军的时代。以电力技术发明和广泛应用为标志的第二次工业革命浪潮中,西门子无疑是这波汹涌浪潮中最出色的弄潮儿之一。1847年,西门子和哈尔斯克(Johann Georg Halske,1814-1890)合伙建立了西门子-哈尔斯克电报机制造厂,也就是西门子公司的前身,主要生产西门子发明的指针式电报机。

1853年,他们成功铺设了从芬兰到克里米亚的一万多公里电报线路。1866年,西门子研发出了自激式直流发电机。1877年,西门子对贝尔发明的电话进行改良,产品性能得到了大幅提升,在整个欧洲销量都很好。1880年,西门子在海曼姆工业博览会安装了世界上第一台电梯,取代了原来依靠蒸汽动力的升降机。1881年,西门子在德国建立了第一个电子公共交通系统,使有轨电车成为人类出行的交通工具之一。除了电气技术产品,西门子和他弟弟卡尔·西门子(Carl Heinrich von Siemens)提出了平炉炼钢法,利用高温回热炉把铁砂直接冶炼成钢,革新了炼钢工艺。从那时开始,西门子公司便活跃在电气工程的每一个领域,产品涉及我们现代化的生活方方面面。而西门子最终成为举世闻名的德国“电子电气之父”。

图27: 维尔纳·冯西门子

图28:电气领域无处不在的西门子公司LOGO

注释及参考文献

[1] If then we wish to obtain standards which will be absolutely permanent, we must seek them not in the dimensions or the motion of our planet, but in the wavelength, the period of vibration and the absolute mass of these imperishable and unalterable of these imperishable and unalterable and perfectly similar molecules.

[2] 国际计量大会(CGPM):国际计量大会由米制公约缔约国的代表参加,是米制公约组织的最高组织形式。1889年,第一届国际计量大会召开,历届大会会讨论国际单位制(International System of Units, SI制)之改进及推展等事项,审查会员国最新研究发展出来的量测标准等。我国在1977年加入该组织。

[3] 国际单位制(International System of Units ,SI):源自米制,旧称“万国公制”,是现在世界上最普遍采用的标准度量衡单位系统,采用十进制进位系统。国际单位制是国际上通用的测量语言,是人类描述和定义世间万物的标尺。国际单位制是在公制基础上发展起来的单位制,于1960年第十一届国际计量大会通过,推荐各国采用,其国际简称为SI。

[4] 国际电学大会:(International Electrical Congress):国际电工委员会的前身。成立于1881年9月15日,当时有28个国家的250名政府代表参加。大会批准了英国科学促进协会(British Association for the Advancementof Science) 建议的、根据力学单位和标准定义的欧姆、伏特等“实用”电学单位,并定义了安培。此后,大会的官方性质逐渐减弱。1904年,圣路易大会上提出成立国际电工委员会(IEC)。1908 年伦敦会议后,国际电学大会的工作转给了国际电工委员会,其名称也不复存在了。

加载中...