口述·苏州美专④|百年美术教育的这一对父子接力
澎湃新闻
原标题:口述·苏州美专④|百年美术教育的这一对父子接力
2019年是颜文樑等发起的苏州美术画赛会创办100周年,画赛会正是三年后苏州美专诞生的序曲。值此苏州美术画赛会百年、苏州美专创建97年之际,“澎湃新闻·艺术评论”推出“口述·苏州美专”系列。
本期寻访的亲历者,是居住在北京、今年87岁的朱曜奎先生,他的父亲朱士杰,与颜文樑、胡粹中共同创建苏州美专,在中国首创实用美术系,却鲜为人知。
朱士杰先生生前曾亲笔书写《自传》,叙其艺术的“根由”、三位创始人友谊的开启、苏州美术画赛会、美专起因等细节。九十岁离世的朱士杰,一生不以艺术争名,不以艺术谋利,倾其全力于艺术教育和创作,保持着忠诚于事业的艺术家本色。其子朱曜奎继承父亲初心,也毕生服务于艺术教育事业。

朱士杰(1900-1990)
不久前出版的《中国美术》杂志(2019年第4期)刊登了一组“苏州美专”专题,全部6篇文章都围绕颜文樑先生;《苏州美专研究专辑》(南京大学出版社,2012年)也是同样状况;苏州美术馆建馆九十周年大展名为“颜文樑文献展”;苏州美专校舍“罗马大楼”改为颜文樑纪念馆,馆外不太起眼处才立着“江苏省文物保护单位:苏州美术专科学校旧址”的石碑。
2017年,2019年,澎湃新闻记者两度入馆参观,除见悉数陈列的颜文樑画作复制品,老照片与说明文字里,几乎隐去了当年共同创建与操持美专的其他人。

“沧浪三杰”颜文樑(右一)、朱士杰(左一)、胡粹中,年份不详
在这张几已无人知晓何年拍摄于何处的老照片中,颜文樑端坐在石凳上,“沧浪三杰”另外二人的朱士杰笔挺地立于微风中,身后的胡粹中潇洒地侧倚石桌。岁月变迁,关于朱士杰、胡粹中们的往事,遗落在哪里?

朱曜奎所制雕塑《沧浪三杰》澎湃新闻记者 图
在“口述·苏州美专”系列采访中,记者了解到,创始人朱士杰(1900-1990)先生的次子朱曜奎(1932-)仍健在,他本人也是苏州美专的学生,毕业后终身从事美术出版和美术教育事业。2019年7月4日清晨,澎湃新闻记者在通州的某小区,走进了朱曜奎老师的住所兼画室,了解到一段尘封的故事。

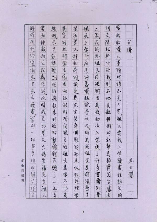
朱士杰亲笔《自传》

朱士杰亲笔《自传》:初识胡粹中、颜文樑
记者查阅的几十篇资料中,并无记述1922年为何是颜文樑、胡粹中、朱士杰三人创办了苏州美专,而当朱士杰先生亲笔书写的十三页《自传》稿纸摆到面前时,他艺术的“根由”、三人友谊的开启、苏州美术画赛会、美专起因等细节,竟全不费功夫地一一浮现出来。为方便叙述“沧浪三杰”的来由,在此作部分摘录:
“九岁时,祖父将我送到沙俊伯先生家去读书。沙先生是苏州名画家沙三春老先生之子,他也能画画,在我们看来是非常之好。他时常为我们画一些人物或者花鸟所以我们对他的感情是很好的。我学写字就是他开的笔,而我爱好绘画的根由亦由之而起。”
“十四岁,考入了吴县县立第三高等小学校,校长潘起鹏,他是日本龙门师范出身,对于音乐和昆曲,在苏地也是很有名望的,而我很受他的影响。图画教师叶振甲,他又特别喜爱我,说我对于绘画极有天才的。所以我亦因之而更加专心在这图画课程了。同时认识了第四高小的胡其纯(即胡粹中),因为他亦性喜绘画,故虽在二处读书而无日不在一起的。”
关于“沧浪三杰”的相识,朱士杰写道:
“我在高小三年级的那年,同班同学赵绶璋,他认识了颜文樑先生。颜先生是苏州新法画有名的,苏州的各扇庄和玻璃镜架店均时常有他的作品陈列出来。每每见到他的作品时,都是非常羡慕的。我们早已(有)想法要认识他了,所以就托赵绶璋介绍了认识而从他为师学习水彩画。”
《自传》中,还记述了一段陶冷月先生的插曲。图画教师叶振甲辞职后,学校请陶冷月接替,作为新法画家的陶先生颇受学生欢迎,朱士杰也尤为专心。
“后来陶先生渐渐知道我在外面补习图画,对我的热情就退去了不少,而且时常批评他人作品而自高自大的表情露之于面,所以我们对他的感情亦逐渐减退了。”
几易学制,义务教学
高小毕业时,朱士杰的家庭经济大不如前了,好在他已能在各扇庄及镜架店画些扇面镜屏。考入江苏省立第二中学后,朱士杰师从校内图画教师樊少云和军乐教师黄筱珊学习美术和音乐,在校外仍从颜文樑先生游。“樊少云颜文樑二先生特为我订定了润例而卖画,一方面要我加入他们,发起苏州美术画赛会。”中学毕业之后,朱士杰确定了绘画的志愿。随后加入中华美术学会,并发起创办苏州美术会,组织美术交流与经营性展览。

朱士杰喜欢音乐
1921年暑期,朱士杰和颜文樑、胡粹中三人,借海红坊政法学校旧址,创办暑期图画补习学校,当时的任课教师有朱士杰、胡粹中、顾仲华、程少川四人,义务教学,讲习中外绘画理论,传授绘画技法,招生200余人,吸引了刘海粟、汪亚尘和王济远到苏州参观。

朱士杰《沧浪亭》油画 1979年
暑假后,有部分学生要求继续学习,朱士杰和颜文樑商借到沧浪亭吴县县立师范学校余屋9间作为校舍,学校经费来源由三位发起人负担,他们把在各校教课薪酬抽出部分捐作校用,并共同定校名为“苏州美术专科学校”。

1937年,颜文樑(前排左三)、朱士杰(前排右二)、陆寰生(前排右三)与部分同学合影
阅读校史时,记者发现,苏州美专的学制有过数次变化,这见证了学校由白手起家到日渐成熟的过程——1922年创建时,设速成科一班,学制两年,第一期招生,学生14人,同时聘请顾公柔、金东雷分授国画和文学课,雇工友一人。1924年,开始设立四年制的本科,专业分国画和西画,明确提出“写实主义”的宗旨,西方美术学院的素描、速写、色彩写生、透视学、解剖学被引入教学。1934年,设置4个科系,即高中科(艺术、实用美术两科),专科(中国画组、西洋画组、实用美术系),科研科,选科(针对有艺术天赋与爱好,但缺乏入学资格者)。抗战复校后,分为五年制专科(国画、西画),三年制高中师范科,以及实用美术科,学生280人,教职员42人。资料显示,历届苏州美专毕业生超过1300人。
在中国首创实用美术系
采访当天,北京遭遇了入夏后首场高温。午饭后,87岁的朱曜奎老师也没有休息,他习惯了清晨五时半即起,工作至夜里九时后就寝的节奏。在朱老师的画室,记者见到五六张尺寸和形状各异的创作中的油画,加之书桌上的资料、文档、放大镜,这些都说明耄耋老人旺盛的创作力和蓬勃的生命力。采访中,突遭一阵停电,他也毫不所动。

朱曜奎的画室一角 澎湃新闻记者 图
朱曜奎先生告诉澎湃新闻记者,父亲朱士杰约在20世纪20年代短期造访日本,考察美术院校课程设置,同时了解到包豪斯的思想和实用美术的培养方式,随之,将东瀛见闻带回苏州,与颜文樑共同开创了中国美术学校设置实用美术系的先河。
有文献记载,明治二十三年(1890年)日本东京高等工业学校,即现在的东京工业大学就设立图案科,此后图案科在日本工业学校、工艺学校大量开设,用以培养新一代掌握西方科学和近代技术的图案设计人才。随着日本产业工艺开始形成,原先的图案科逐渐转变为工业设计。
朱士杰《自传》中,只有一段极简短的记录:
“一九三四年(注:笔误,应为一九三三年),美专创办实用美术系,因为我对该课最熟悉,不得不担任了该系主任(因为我素来不喜欢担任行政工作),又增加了制版印刷的理论和技法知识。”

朱士杰制作的紫砂盆
对于实用美术系课程,朱士杰颇费心思,他以素描、色彩、速写为基础,同时,强调图案的重要性,并且自己设计出许多精美的装饰画。此外,朱士杰还擅长雕塑和紫砂工艺,原上海晋元公园内一尊谢晋元团长的雕塑铜像就是他创作的。

朱士杰制作雕塑
实用美术系成立后,朱士杰开办了制版科,设印刷、铸字、制版和摄影工场供学生实习。一番努力之后,美专可自行制版,印刷画刊书籍,出版了不少中外艺术画册和单张的西洋名画,校刊《艺浪》与部分毕业“纪念刊”也都由学校制版印刷。所印画册,因印刷精良,经学校门市部出售,广受欢迎。
为满足制版工场教学,苏州美专还从国外购买仪器。1933年8月,颜文樑到上海委托上海谦信洋行向德国订购制版设备,为此教育部还核准教育用品免税护照。
1917年,教育家蔡元培就提出实用美术教育的重要性。颜文樑早期从事过舞台布景的工作,朱士杰也在舅父开办的上海糖果厂兼任过美术设计职务。上世纪三十年代,苏州美专抓住契机,率先将实用美术专业作为办学特色,在当时的多所美术学校中拥有了一席之地。
42年后,传承实用美术初心
一张老照片上,朱士杰与妻子章雪英身着正装,并肩而立。苏州美专在沪时期,朱士杰原先的妻子汪氏弃他而去。“万念俱灰”之中,曾经的女学生章雪英不仅给予劝慰,也重新给他和两个儿子一个家。章雪英用“自爱、自尊、自强、自主、自力、自控、自信”,“七自”激励年幼失母的朱曜奎。回忆章母时,朱曜奎眼中泛起一点泪光。

朱士杰与夫人章雪英 澎湃新闻记者 翻拍图
朱曜奎1948年入读苏州美专,1953年毕业时,学校已调整为南京艺术学院了。他毕业后的第一份工作,是北京人民卫生出版社美术编辑,期间完成过《人体医用解剖》的绘制出版。朱曜奎说:“建国后最早的一些医用解剖挂图就是我们画的,从苏联借鉴来,照着样子画。”

朱曜奎
1955年,朱曜奎被调到中央民族学院,创建“艺术系”,他先被派到武汉分院试办。朱曜奎奔走各地,组建师资队伍,考察生活,制定教学方案,首届“音乐舞蹈专业”和“美术专业”招收少数民族学生80余人。1957年,两个班回到北京,正式成立中央民族学院“艺术系”。朱曜奎在教学中沿用了苏州美专的美术教育模式,并有所革新,开设素描、色彩、写生等课程。学院的毕业生,有第一代少数民族中国画的画家,第一代工艺美术家,新疆艺术学院美术学院院长,还有毕生从事民间美术研究与创作的苗族工艺师。
1975年,朱曜奎调任中央工艺美术学院教研室主任,着重筹建特种工艺系(后改称装饰艺术系)。当时,这所学校是中国唯一的工艺美术高等院校,纤维艺术、漆画艺术、景观与公共艺术、装饰浮雕、首饰设计,乃至影视动画、游戏设计,都产生于这所院校。任教期间,朱曜奎个人也在漆画,漆壁画,纤维艺术,树脂装饰,插画,雕塑和公共设计领域不懈求索。对他而言,这既是教学理想的延续,也是对父亲美术志愿的传承。这时,距离朱士杰创设苏州美专实用美术系过去了42年。
退休后,1993年,朱曜奎创建了民办大学“北京建设大学美术设计学院”,为解决经费,他将画展出售所得投入办学,置办一应教学用具和生活用品,三年不领工资,并用绘画和稿酬为教师发工资……凡此种种,与当年颜文樑、朱士杰等人所为何其相似。
1996年,建设大学美术设计学院在中国美术馆举办“教学成果展”,成为第一个在该馆办展的民办大学。2004年,朱曜奎将建设大学美院全部物资无偿交给中国农业大学继续办学。
采访中,朱老师取来整理好的厚厚几本影集,记者看到当年他投入学校的面包车、电脑和教学用具,还有一枚北京市刑事警察部门的徽章,设计者正是北京建设大学毕业生。
通过阅读朱士杰《自传》以及采访朱曜奎先生,令人深刻感到,艺术和学生,就是这对父子的终身所爱。
草木人生,忠诚于艺术家本色
朱士杰生前以“草木人生”自况,他一生画山石树木,河流野草。草木自有草木的活法,不像鲜花绚烂,却比鲜花长久;不似夏花夺目迷人,却淡淡幽香沁人心脾。

朱士杰《撒网》油画 1972年
可是,朱士杰先生对中国现代美术事业作出的奉献,在当代,实在是被低估和漠视了。记者几度参观专题展览或纪念单位,却难觅与他相关的点滴。
偶然契机,得知朱士杰先生的女儿,还住在父亲南京的老房子里。4月,一次工作采访结束后,在友人陪同下,走进了朱士杰的家。离世近三十年,书房格局,早已改变。记忆中,仅房门与立柜,位置如旧。

朱士杰 《书房》油画 1959年
1987版上海人民美术出版社印刷了《朱士杰画选》,其中一幅作于1959年的油画《书房》,还原了多年前先生温馨的二楼小屋。另一幅1968年的《家门》,则描绘了记者当晚拜访后,从前门踏出的那条小径,只不过,相隔51年,画里的恬静与草木少了许多。

朱士杰《海涛》油画 1963年
细读书中油画,能体会老先生作画时的细致与耐心,画中的量感,质感,隔着旧书亦能感受。
“不论古木弱草,山岩清流,不像一般风景画家那样,满足于形象的把握,色彩的调配而已。我看他画的山石树林,都在诉说自己的年龄和性格,经历和遭遇。充满着理解和同情,好像为自己的朋友写照那样,如此亲切,如此真实。”刘汝醴在画册“序”中写道。
画册首页,印有一张朱士杰先生的照片。老人手持拐杖,略略欠身,颔首微笑,不大的双眼,目光沉静。

朱士杰先生
这位九十岁离世的老人,一生不以艺术争名,不以艺术谋利。“除了少数几个知己朋友切磋艺事之外,不事交际。不喜欢抛头露面,因此没有被目为时髦画家。他一生倾其全力于艺术教育和艺术创作,保持着忠诚于事业的艺术家本色。”
(本专题参考资料:“沧浪画展——36年回顾展”展览画册、《苏州美专研究》、《黄觉寺文集》、薛企荧著《阳光旅途》、《沧浪掇英——苏州美专建校八十六周年纪念专辑(1922-2008)》、苏州美术馆馆刊《艺浪》、《朱士杰画选》、冉伟严著《岁月丹青——朱士杰、朱曜奎父子传》(文稿)。 )