HgCrSe的高压调控研究取得新进展
中国科学院网站
原标题:HgCrSe的高压调控研究取得新进展
上世纪70年代人们发现尖晶石结构的ACr2X4 (A = Cd, Hg, X=Se, S)具有铁磁半导体性质,其中Cr3+离子局域磁矩通过超交换形成长程铁磁序,而s-d交换相互作用使s轨道电子主导的导带发生较大的自旋劈裂。由于这类材料中自旋和电荷自由度间的强烈耦合造成了许多有趣现象,在过去几十年吸引了较多关注。中国科学院物理研究所/北京凝聚态物理国家研究中心多个课题组近期开展了系列研究。2011年,凝聚态理论与材料计算重点实验室研究员方忠与合作者通过第一性原理计算预测HgCr2Se4是磁性外尔半金属,并可能会实现量子反常霍尔效应[Phys. Rev. Lett. 107, 186806 (2011)]。随后,极端条件物理重点实验室研究员石友国与合作者利用气相输运法生长了高质量的n型HgCr2Se4单晶[J. Low. Temp. Phys. 171, 127 (2013)]。在此基础上,纳米物理与器件重点实验室研究员李永庆与合作者通过测量安德列夫(Andreev)反射谱确定了n型HgCr2Se4单晶是自旋极化率高达97%的铁磁半金属(half metal),发现电阻率在铁磁居里温度TC = 106K以下下降8个数量级并在TC附近观察到7×106%的庞磁电阻效应[Phys. Rev. Lett. 115, 087002 (2015)]。在这些前期研究基础上,最近极端条件物理重点实验室程金光研究组(EX6组)在HgCr2Se4单晶的高压调控研究方面取得新进展。
EX6组的孙建平、焦媛媛、程金光与EX1组的伊长江、石友国、纳米物理与器件重点实验室的李永庆、凝聚态理论与材料计算重点实验室的方忠,联合美国橡树岭国家实验室博士M. Matsuda和日本东京大学教授Y. Uwatoko等合作者,采用六面砧大腔体高压低温物性测量装置,在8 GPa静水压、1.5 K最低温和8T磁场的综合极端环境下,对高质量的n型HgCr2Se4单晶开展了细致的高压下电输运和磁性测量,发现其铁磁金属基态在压力下逐渐转变为螺旋反铁磁绝缘态,而通过施加磁场可以恢复铁磁金属基态,从而导致低温出现了高达3×1011%的庞磁电阻。
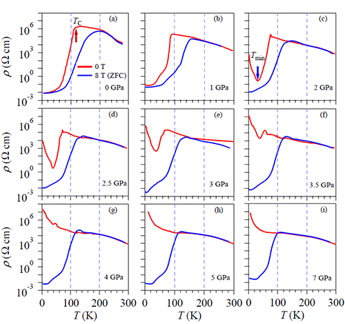
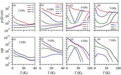
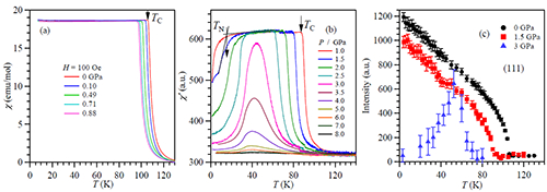
如图1所示,他们首先利用六面砧装置测试了n型HgCr2Se4单晶在0-7GPa压力范围内、0T与8T磁场下的电阻率-温度依赖关系,发现0T下铁磁有序造成电阻率上的绝缘体-金属转变随着压力的升高逐渐向低温移动,同时低温Tmin以下电阻呈现上翘现象并随压力增加而逐渐增强,在3.5 GPa以上样品电阻率变为完全绝缘性。有意思的是,当对样品施加8T的外磁场后,在所有压力下均可以恢复出现绝缘体-金属转变,但转变温度随压力升高逐渐向低温移动。图2所示的不同压力和不同磁场下的低温电阻率数据详细展示了压力和磁场对电输运性质的影响规律,即压力越高,实现金属化所需的外磁场也逐渐增加。与钙钛矿锰氧化物或者常压下HgCr2Se4只在铁磁有序温度附近才表现出庞磁电阻效应不同,高压下的n型HgCr2Se4单晶在较宽的低温磁有序区间都表现出了巨大的磁电阻效应,例如,在4GPa、2K、5T时磁阻甚至高达3×1011%。为了阐明其物理机制,他们对n型HgCr2Se4单晶进行了详细的高压下磁化率和中子衍射测试(图3),结果表明HgCr2Se4的铁磁基态在压力下逐渐转变为螺旋反铁磁态,与最近理论计算的结果一致[PRX 7, 041049 (2017)]。基于高压下电阻率和磁化率测试结果,他们建立了图4所示的n型HgCr2Se4单晶的温度-压力相图,从中可以看出高压在抑制铁磁序的同时逐步增强了螺旋反铁磁序,在4 GPa附近二者相遇,反铁磁序占主导。该相图表明n型HgCr2Se4单晶在常压下恰好处于铁磁序与螺旋反铁磁序竞争的临界点附近,这使得施加很小的压力和磁场等外部激励就可以有效调控其电、磁基态,而且二者的调控效果恰好相反,即压力会增强反铁磁作用,逐渐破坏铁磁序,削弱s-d交换劈裂,进而在导带打开能隙而破坏金属基态,最终稳定了螺旋反铁磁绝缘态;而当施加外磁场将螺旋反铁磁序极化为铁磁序时,又恢复了金属态。正是由于压力下铁磁金属态与反铁磁绝缘态的竞争使其展现出庞磁电阻效应,与钙钛矿锰氧化物的物理机制不同。因此,上述研究结果为实现庞磁电阻效应提供了一种新的途径,对探索通过调控竞争磁基态进而诱导庞磁电阻效应的新机制甚至自旋电子学器件应用具有重要意义。
相关工作近期发表于《物理评论快报》(Phys. Rev. Lett. 123, 047201 (2019)),得到了科技部重点研发计划、国家自然科学基金委、中科院B类先导专项和前沿重点项目的支持。
文章链接

图1. 在不同压力下n型HgCr2Se4单晶在0T与8T磁场下的电阻率-温度曲线

图2. 不同压力和磁场下n型HgCr2Se4单晶的电阻率和磁阻-温度曲线

图3. n型HgCr2Se4单晶在不同压力下的直流磁化率、交流磁化率以及中子衍射峰强度随温度的依赖关系

图4. n型HgCr2Se4单晶的温度-压力相图