新浪新闻

地化所在磷化铁矿物高温高压下电阻率研究中获进展

中国科学院网站

关注

原标题:地化所在磷化铁矿物高温高压下电阻率研究中获进展


现有的研究认为,地球及类地天体(月球、火星、水星及木星的一些卫星等)都具有相似的核幔结构。这些天体的核部被认为是铁合金为主,加上不同含量的轻元素(碳,硅,氧,硫,磷等)。对纯金属铁在高温高压条件下的电阻率研究一直是了解内核物理性质的重要手段。金属的热导率受控于电子传热和声子传热(晶格振动),其中电子传热占主导地位,因此通过Wiedemann-Franz公式可以由金属的电阻率计算得到其热导率。金属的热导率极高,在高温高压原位条件下进行测量极为困难,原位测量金属的电阻率则为人们获得金属铁核的热导率提供了一种途径。金属核的热学参数对于限定核幔之间的热流、核内的热分布、固液相的状态、固态内核的形成年龄等具有重要的意义。同时,大量的实验发现:轻元素(如硅,碳等)的存在会显著地增大纯铁的电阻率,引起热导率下降。在达到熔融温度时,纯金属及含轻元素这两种情况下的电阻率的变化也有明显的不同。因此,了解轻元素对铁在高温高压条件下的电阻率的影响将为人们揭示行星金属铁核电阻率变化的情况和可能的热导率变化模型。

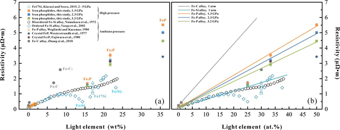
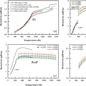
最近,中国科学院地球化学研究所地球内部物质高温高压重点实验室翟双猛课题组的博士研究生尹远,在3.2 GPa压力及1800 K温度以内,开展了磷化铁矿物高温高压条件下原位电阻率四线法测量的工作。研究结果表明:三种磷化铁矿物(FeP,Fe2P,Fe3P)在高温高压下具有相近的电阻率(1-6 μΩ·m),都比相同条件下纯铁电阻率(~1 μΩ·m)大,说明磷的加入增大了铁的电阻率。与铁硅合金及化合物的研究结果进行比较,发现磷对提升电阻率的作用更强,且达到熔融温度时都会出现电阻率突然下降的现象。通常纯铁在熔融时电阻率会小幅增大,但在3.2 GPa下,Fe3P在达到熔点温度时电阻率下降了~33%,这可能会导致固态内核和液态外核共存时其界面上产生明显的电阻率不连续,并引发热结构的不连续。如果在一些具有固态内核及液态外核的类地天体中含有一定量的Fe3X(X为C,Si,S,P等),其内外核边界上也可能会产生同样的不连续。

上述成果发表在国际地学期刊Journal of Geophysical Research: Solid Earth上。

该研究得到国家自然科学基金等的资助。

    论文链接

图1. 不同温压条件下Fe、FeP、Fe2P和Fe3P的电阻率

图2. 不同轻元素含量的铁合金及化合物的电阻率

加载中...