新浪新闻

诺特定理与去禁闭量子临界点研究获进展

中国科学院网站

关注

原标题:诺特定理与去禁闭量子临界点研究获进展


以局域序参量和对称性破缺为圭帛的朗道-金兹伯格-威尔逊相变和物质分类理论是传统凝聚态物理学的基石。近年来,以拓扑序、涌现物质场与规范场耦合为特点的量子物质科学新范式,正在逐步超越这个框架,其中以去禁闭量子临界点为代表的新型量子相变,受到了从凝聚态物理学到高能物理学的广泛关注。

不同于朗道相变理论,对去禁闭量子相变的解读建立在分数化自旋子和规范场的耦合之上。同时,去禁闭量子临界点上还被认为存在高于体系哈密顿量所具有的涌现连续对称性。对于涌现连续对称性,人们普遍采用的研究方法包括比较相变点两侧不同量子态的临界指数,以及直接观察相变点处不同序参量的概率分布函数,但是这些方法往往受制于数值计算的精度,只能提供涌现连续对称性存在的间接证据。作为研究连续对称性非常重要的诺特定理,到目前为止,并没有应用到对涌现对称性的研究当中。

最近,由中国科学院物理研究所/北京凝聚态物理国家研究中心博士后马女森、加州大学圣地亚哥分校助理教授尤亦庄和物理所研究员孟子杨组成的研究团队,首次提出了应用诺特定理寻找去禁闭量子临界点涌现连续对称性的研究方法,填补了这方面的空白。

诺特定理告诉人们,物理系统中存在的连续对称性都有对应的守恒律,最为人熟知的便是时空平移对称性对应的能量和动量守恒律,守恒律又对应着系统中某一守恒流,可以是能量流、动量流、电流、粒子流等。反过来思考,如果可以观测到物理系统存在某一守恒流,也就可以证明此系统具有该守恒流对应的连续对称性。基于如此考虑,该团队将守恒流的观测和计算应用于如图1所示的二维量子自旋系统--易面(easy-plane)JQ模型--之中,该模型在之前工作中被证明存在去禁闭量子临界点和可能具有O(4)涌现对称性。通过对于去禁闭量子临界点场论模型和微观晶格模型的分析,团队成员建立起了表1中所示的易面JQ模型在特定动量点处全部可能的流算符,以及它们在微观晶格模型与场论模型之间的对应关系,并由此找到能够证明O(4)对称性存在最重要的流算符J^23 --即JQ 模型中动量点(pi,0)处的自旋算符Sx。

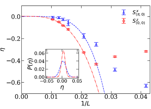
然后,团队成员运用大规模量子蒙特卡洛方法计算了体系在去禁闭量子临界点处,在不同动量点上的自旋关联函数。通过拟合特定动量点的自旋关联函数在虚时上的衰减形式证实了 J^23 的确是守恒流(对于守恒流算符,其关联函数在时空中按照整数幂律衰减,没有重整化修正)。作为补充验证,团队成员同时对另一个对应于系统中电荷守恒的流 J^34 --即 JQ 模型中动量点(0,0)处的自旋算符 Sz -- 也进行了研究,证实了它也是一个确定的守恒流。从图2的结果中可以看出,这两个流对应的自旋关联在热力学极限下,其重整化修正指数 eta 都为零,证明两处都存在守恒流。守恒流存在的结果又反过来验证了相变点处的O(4)涌现连续对称性。

诺特定理在该系统中的应用不仅为去禁闭量子临界点涌现对称性的存在提供了新的有力证据,同时建立了使用诺特定理和守恒流方法探测量子系统中是否存在涌现连续对称性的新思路,这一思路已经在其他系统的工作中得到了应用。

相关工作发表在最近一期的《物理评论快报》上(Phys. Rev. Lett. 122,175701 (2019))。

这项工作得到科技部重点研发计划(2016YFA0300502)、中科院先导专项(XDB28000000)、国家自然科学基金委项目(11574359,11674370)以及松山湖材料实验室、德国研究基金Research unit FOR1807 和Mercator Follow 等的支持。量子蒙特卡洛模拟所需的大规模的并行计算在中科院物理所量子模拟科学中心和国家超算天津中心天河1号平台和国家超算广州中心天河2号平台上完成,计算过程中得到国家超算天津中心博士孟祥飞、工程师菅晓东等人,国家超算广州中心应用推广部部长王栋、工程师崔颖妍等人的支持。

    论文链接

图1:易面(easy-plane)JQ模型和该系统的去禁闭量子相变

表1:去禁闭量子临界点处不同流算符在微观晶格模型和场论模型之间的对应关系

图2: 量子蒙特卡洛模拟得到的守恒流结果。x轴为1/L ,即外推到系统线性尺度无穷大的热力学极限;y轴为关联函数幂律的重整化修正指数eta,修正指数在热力学极限下外推到零,就说明此处的关联函数是守恒流算符的关联函数,没有重整化修正。

加载中...