新浪新闻

理论物理所等在早期宇宙的引力波研究中取得进展

中国科学院网站

关注

原标题:理论物理所等在早期宇宙的引力波研究中取得进展


2015年9月14日,美国激光干涉引力波天文台(LIGO)第一次在双黑洞并合的过程中探测到引力波信号,这标志着人类探索宇宙奥秘打开了一个非常有用的新窗口。由于地面震动干扰,地面引力波探测器只能探测高频引力波(10赫兹以上)信号。下一代的空间引力波探测器如欧空局主导的激光干涉空间天线(LISA)项目、我国提出的太极计划或者天琴计划等可以探测毫赫兹到一赫兹波段的引力波。这一频段的引力波蕴含着丰富的科学内容。这些空间引力波探测器的科学目标包括超大质量黑洞并合、极端质量比黑洞对、随机引力波背景等。其中,诞生于早期宇宙的随机引力波是保存了早期宇宙信息的“化石”,对理解早期宇宙的演化具有重要的科学意义。

当前的天文学和宇宙学观测告诉我们宇宙中有27%的物质组分是不发光的“暗物质”。其起源和性质是现代宇宙学和理论物理的一大挑战。一种可能的解释是极早期宇宙小尺度上的原初密度扰动很大,重新进入视界时形成了原初黑洞,而暗物质正是由这些原初黑洞组成的。质量小于1016克的原初黑洞由于霍金辐射已经蒸发殆尽,无法作为暗物质候选者。远大于太阳质量(1033克)的原初黑洞则会影响宇宙微波背景辐射,不能大量存在。1022克到太阳质量的原初黑洞在银河系的暗物质晕里运动并挡住遥远恒星时,可以产生引力透镜效应。人们可以通过寻找这种引力透镜来限制原初黑洞的能量密度。然而,质量小于1022克的原初黑洞的半径为纳米量级,远小于可见光的波长。这么小的物体无法用上述的引力透镜效应观测到(见图1)。

引力波的发现打开了一扇观测这种原初黑洞的新窗口,因为导致原初黑洞形成的原初密度扰动也会产生引力波。在宇宙早期暴胀阶段中,虽然标量扰动和张量扰动在线性阶是独立的,但它们在非线性阶是耦合的。这种非线性耦合会使得标量扰动诱导出引力波。以这种机制产生的引力波称为诱导引力波。如果原初黑洞大量存在,则原初标量扰动必定很大,其诱导引力波也会很大,有可能被未来的引力波实验观测到。如前所述,原初黑洞作为暗物质候选的唯一可能的质量区间是1017克到1022克,其对应的诱导引力波频段是10-3赫兹到0.1赫兹,恰好在下一代空间引力波天文台LISA/太极/天琴的探测范围之内。

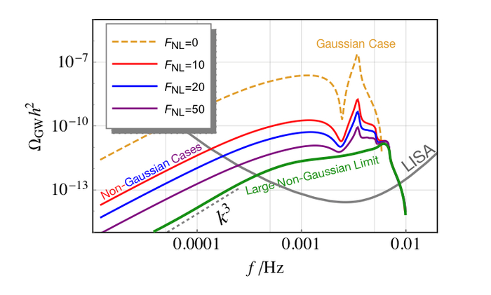
最近,中国科学院理论物理研究所研究员蔡荣根、日本东京大学国际高等研究所卡弗里数物连携宇宙研究机构博士皮石、教授佐佐木节研究了非高斯分布的小尺度原初密度扰动,并讨论了非高斯分布对原初黑洞形成以及对诱导引力波产生的影响。他们发现,非高斯的原初密度扰动会增强诱导引力波,同时也增大原初黑洞的形成率。如果假定暗物质全部由原初黑洞组成,即固定原初黑洞的能量密度为现在的暗物质密度,则增加非高斯性意味着必须压低原初密度扰动分布的功率谱。参见图2。这两种效应的综合效果会使得在固定原初黑洞的能量密度的条件下,增加原初密度扰动的非高斯性会压低诱导引力波的能量密度。有趣的是,他们发现持续增大非高斯性时,诱导引力波能量密度存在一个下界,而该下界在暗物质全部由原初黑洞组成的频段内(10-3赫兹到0.1赫兹)大于下一代空间引力波天文台的可探测精度(见图3)。这意味着如果暗物质全部由原初黑洞组成,人们一定能在LISA/太极/天琴中观测到其对应的诱导引力波信号。这结果不依赖于原初密度扰动的分布。反之,如果没有在LISA/太极/天琴中观测到这样的引力波信号,则原初黑洞不可能作为暗物质的唯一候选者。该研究工作最近发表于《物理评论快报》(Phys. Rev. Lett. 122, 201101 (2019))。相关研究成果对空间引力探测、理解暗物质性质和早期宇宙演化具有重要科学意义。

该研究工作受到基金委重大项目“引力波相关的物理问题研究”、中科院先导项目和前沿科学重点项目等的支持。佐佐木节受到国家外专局高端外国专家计划的资助,为理论物理所的客座研究员。

图1 原初黑洞的观测限制。横轴为原初黑洞质量(以太阳质量为单位),纵轴为原初黑洞的能量密度(以暗物质的能量密度为单位)。紫色为霍金辐射导致黑洞蒸发的限制。天蓝色三角形为白矮星俘获原初黑洞的限制。蓝色为微引力透镜的限制,从左到右分别为Subaru HSC,EROS,OGLE。黑灰色梯形为LIGO第二期运行时得到的双黑洞引力波限制。右方天蓝色为矮星系俘获原初黑洞的限制。红色为微波背景辐射的限制。由于波动光学效应和有限尺度效应,1017克到1022克的质量区间的原初黑洞不能产生微引力透镜,因此无法通过光学手段观测。原初黑洞有可能在这个质量区间提供全部暗物质。对该窗口的唯一可能的观测限制来自于未来的空间引力波实验。

图2 原初密度扰动δρ/ρ的概率密度分布函数的示意图。δρ/ρ>δc的宇宙即可形成原初黑洞。相对于高斯分布来说,非高斯分布的大于δc的尾巴部分面积更大,可形成更多原初黑洞。在非高斯涨落

图3 暗物质全部由原初黑洞组成的情况下,原初标量扰动产生的诱导引力波。原初黑洞的质量取定为1022克,对应诱导引力波频率0.003赫兹。橙色虚曲线为高斯型的标量扰动诱导的引力波。红、蓝、紫曲线为不同的非高斯性的情况。苔绿色为极端非高斯(χ^2分布)的标量扰动诱导的引力波。可以看到固定原初黑洞的能量密度的情况下,增大非高斯会压低诱导引力波。但其能量密度的下界在下一代空间引力波探测器LISA/太极/天琴的敏感度曲线以上。

加载中...