中国家庭︱老年人的空巢时间有多长
陈卫 段媛媛
原标题:中国家庭︱老年人的空巢时间有多长
中国正在进入快速老龄化时期。中国人口老龄化不断加深的一个重要特征是老年人家庭“空巢化”趋势越来越显著。不仅空巢老人的比例日益上升,老年人在空巢状态下度过的时间也不断延长。
2015年60岁及以上老年人口中空巢老人占比达到51.3%,表明空巢已经取代传统的与子女同住的家庭居住模式,成为中国老年人最主要的居住方式。2015年末,中国60岁及以上老年人数量为2.22亿,意味着2015年末中国60岁及以上的空巢老年人数量为1. 14亿人。根据联合国2017年发布的《世界人口展望》,到2050年中国60岁及以上的老年人将达到4.79亿。即使空巢老年人的占比保持2015年的水平不变,中国的空巢老人届时也将将达到2.46亿。
中国工业化和城镇化的快速发展,使得家庭关系不断发生转变,这种转变弱化了父母对孩子的控制,也减少了父母老年时期与子女同住的机会。“空巢”作为老年人居住安排的独特状态,其变化趋势正是这一转变的体现。随着受计划生育影响的队列逐步步入老年期,加上人口迁移的核心家庭化趋势越来越明显,老年人空巢化倾向会进一步加剧。在中国,家庭养老作为养老的主要方式,其内部的代际支持仍然是老年人获取保障和照料的主要来源。空巢老人要么没有子女,要么有子女却不和子女共居一处,传统的家庭养老支持的功能明显弱化,面临着缺乏精神慰藉、生活无人照顾、经济困难等问题,因此一直是社会政策关注的重点。
老年人的空巢状态受到自身生命周期及其子女生命周期的共同影响,是一个动态的变化过程。本研究通过计算空巢预期寿命,对中国老年人处于空巢状态的时间长度进行估计,并在此基础上考察在性别、城乡及受教育程度上的差异。空巢预期寿命表明在给定的居住安排转换概率的条件下,老年人预计在空巢状态下度过的年数。
本研究的数据来源为2011~2013年中国养老与健康追踪调查(CHARLS),该调查由北京大学国家发展研究院开展,覆盖了全国150个县、区的450个村、居。本研究选取了60岁及以上(2011年)的样本,共计7334人,主要使用了调查中基本人口信息、家户和家庭信息等调查内容。本研究的空巢老人指的是身边无子女或其他亲属一起生活的60岁及以上的老年人,包括仅与配偶共同居住和因丧偶、离婚、未婚等原因而独居的老人。根据研究目的,本研究将老年人居住状态划分为独居、夫妻居、与其他人同住,期末则增加“死亡”状态,除死亡状态外,居住状态之间可以相互转换(见图1)。
多状态生命表居住安排的设定
样本中大部分老年人在2013年追踪调查时仍然保持着其2011年的居住安排,独居、夫妻居和与其他人同住的稳定性依次增加。对于发生居住状态转换的老年人来讲,独居和夫妻居的老年人更容易转向与其他人同住,而与其他人同住的老年人则主要转变为夫妻居。
本研究使用多状态生命表法对中国老年人空巢预期寿命进行估计。首先通过多分类logit模型对状态转换概率进行估计,然后基于状态转换概率构建多状态生命表,最后再对基于人口的和基于状态的各年龄空巢预期寿命分别进行估计。基于人口的空巢预期寿命指全体人口从某一年龄直到死亡过程中在空巢状态上度过的时间;基于状态的空巢预期寿命指初始处于某个居住状态的人从某一年龄直到死亡过程中在空巢状态上度过的时间。
60岁老年人的空巢预期寿命接近14年
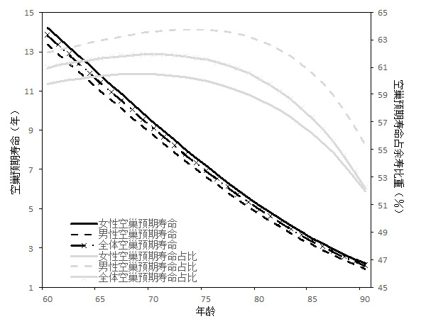
中国老年人进入60岁时的平均余寿为22.7年,其中空巢预期寿命为13.8年,占比为60.95%。随着年龄的增长,平均余寿和空巢预期寿命都在下降,空巢预期寿命占余寿比重却呈现出先上升而后再下降的趋势(见图2),转折点为70岁(占余寿比重为61.93%,以下括号中相同),至90岁时,老年人空巢预期寿命占比降为52.24%。
这一趋势反映了从60岁开始的整个老年期年龄与老年人空巢之间存在曲线关系:随着年龄的增长,老年人空巢的可能性先缓慢增加在70岁后不断下降。70岁之前子女因工作、学习、结婚等相继“离巢”和此时老年人对子女需求较少是老年人空巢可能性增加的主要原因;而随着年龄的继续增长,老年人的健康状况恶化,部分老年人的婚姻状况也发生了转变,从有偶变成无偶,老年人对子女的照料需求增加,同时老年父母可以提供整理家务、照料年幼孙子女等的劳动来满足子女的需求进而降低其空巢的可能性。有研究表明年龄对老年人家庭空巢的这一影响是不断发生变化的,老年人收入的增加、健康状况的提高,以及政府支持的可获得性的改善将使得老年人选择与子女同住的年龄趋向于推迟。
分年龄性别老年人空巢预期寿命及其占余寿比重:2011~2013
男性老年人空巢预期寿命低于女性老年人。60岁时男性老年人空巢预期寿命为13.4年(62.04%),女性老年人的空巢预期寿命为14.2年(59.78%),女性老年人空巢预期寿命略长,相差0.8年。空巢预期寿命的性别差异主要源于女性预期寿命更长。而空巢预期寿命占余寿比重的性别差异则是因为女性与子女的情感联系更加紧密,且较年轻和健康的女性老人可以帮助子女做家务、照料孙子女等因而更不容易空巢,但在高龄阶段男女两性老人的差异逐步缩小。以往研究表明,配偶离世会增加老人与其子女一起生活的可能性,女性老人更高的丧偶率及其更缺乏资源和独立居住能力也使得女性老人更依赖于子女的抚养。
城市老年人空巢预期寿命低于农村老年人。60岁时城市和农村老年人空巢预期寿命分别为13.3年(54.40%)、13.9年(63.08%)。在加入性别变量后,两性老人的城乡差异模式不变。快速的城镇化引起大规模的农村青壮劳动力的乡城流动是其主要原因,另外,大城市住房短缺、城市老年人往往拥有更多的社会资源均降低了城市老年人空巢的可能性。
受教育水平越高,老年人空巢预期寿命越长。文盲和半文盲、小学、初中、高中及以上教育水平的60岁老年人空巢预期寿命分别为12.8年、13.5年、15.4年、17.5年。加入性别变量后,两性老人的教育水平差异模式不变。受教育水平越高,其收入、健康和社会保障越高,独立自主生活的能力越强,对独居和隐私的需求更大,更能够摆脱传统观念,愿意且能够选择自己的理想居住形态。
年纪越大,夫妻居空巢越少
老年人空巢状态包括独居和夫妻居,中国60岁老年人的独居预期寿命和夫妻居预期寿命分别为3.8年和10.0年,占余寿百分比分别为16.8%和44.15%。独居和夫妻居预期寿命均随着年龄的增长而下降,占余寿比重却呈现相反的趋势:夫妻居预期寿命占余寿比重不断下降,独居预期寿命占余寿比重则缓慢增加。随着老年人年龄的增加,死亡率增高导致丧偶的可能性逐渐增加,因此其空巢预期寿命中独居的可能性增大,夫妻居的可能性减小。
女性老年人的独居预期寿命是男性老年人的两倍。60岁时男女两性老人的独居预期寿命分别为2.5年(11.56%)和5.3年(22.42%),夫妻居预期寿命分别为10.9年(50.48%)和8.9年(37.36%)。男性老年人的独居预期寿命及其占余寿比重均低于女性,而夫妻居性别差异则相反,其主要原因为男性老人较高的死亡率和再婚率。
城乡老年人的独居预期寿命相同。60岁城市和农村老年人独居预期寿命均为3.8年(占比分别为15.43%和17.4%),夫妻居预期寿命分别为9.5年(38.97%)和10.1年(45.69%)。城市老人独居预期寿命及其占比在各个年龄均低于农村,城市老人夫妻居预期寿命在低龄组低于农村,在75岁后高于农村,但其占余寿比重一直低于农村。主要是因为农村老人较高的死亡率导致的平均余寿较低而丧偶率较高。
受教育程度越高的老年人,夫妻居预期寿命越高。受教育水平为文盲和半文盲、小学、初中、高中及以上的60岁老年人独居预期寿命分别为4.5年(20.23%)、3.6年(16.29%)、3.1年(13.17%)、4.7年(16.69%),夫妻居预期寿命分别为8.2年(36.73%)、10.0年(45.52%)、12.3年(52.17%)、12.7年(45.56%)。
空巢老人预期寿命受初始居住状态的影响
初始为独居和夫妻居的60岁老年人的空巢预期寿命均为16.2年(占余寿比重分别为70.98%和70.77%),而初始为与其他人同住的老年人的空巢预期寿命仅为10.6年(47.5%)。初始为空巢状态的老年人空巢预期寿命及其占余寿比重在各个年龄段均高于初始为非空巢居住状态的老人,其占余寿比重的差异随着年龄的增加不断拉大。在空巢状态中,初始为夫妻居的老年人的空巢预期寿命及其占余寿比重高于初始为独居的老年人。这意味着老年人的空巢预期寿命受到当前居住状态的影响,年龄越高老年人空巢状态越难得到逆转,而初始为夫妻居的空巢状态逆转更难。与独居相比,老年夫妻一起居住的状态更为稳定,因而更容易保持空巢状态。
最后需要指出,由于CHARLS 2011年调查中机构老年人没有进入抽样,可能会导致对老年人预期寿命的估计有所偏高。
(作者陈卫系中国人民大学人口与发展研究中心教授,段媛媛系中国人民大学社会与人口学院博士研究生)
2015年60岁及以上老年人口中空巢老人占比达到51.3%,表明空巢已经取代传统的与子女同住的家庭居住模式,成为中国老年人最主要的居住方式。2015年末,中国60岁及以上老年人数量为2.22亿,意味着2015年末中国60岁及以上的空巢老年人数量为1. 14亿人。根据联合国2017年发布的《世界人口展望》,到2050年中国60岁及以上的老年人将达到4.79亿。即使空巢老年人的占比保持2015年的水平不变,中国的空巢老人届时也将将达到2.46亿。
中国工业化和城镇化的快速发展,使得家庭关系不断发生转变,这种转变弱化了父母对孩子的控制,也减少了父母老年时期与子女同住的机会。“空巢”作为老年人居住安排的独特状态,其变化趋势正是这一转变的体现。随着受计划生育影响的队列逐步步入老年期,加上人口迁移的核心家庭化趋势越来越明显,老年人空巢化倾向会进一步加剧。在中国,家庭养老作为养老的主要方式,其内部的代际支持仍然是老年人获取保障和照料的主要来源。空巢老人要么没有子女,要么有子女却不和子女共居一处,传统的家庭养老支持的功能明显弱化,面临着缺乏精神慰藉、生活无人照顾、经济困难等问题,因此一直是社会政策关注的重点。
老年人的空巢状态受到自身生命周期及其子女生命周期的共同影响,是一个动态的变化过程。本研究通过计算空巢预期寿命,对中国老年人处于空巢状态的时间长度进行估计,并在此基础上考察在性别、城乡及受教育程度上的差异。空巢预期寿命表明在给定的居住安排转换概率的条件下,老年人预计在空巢状态下度过的年数。
本研究的数据来源为2011~2013年中国养老与健康追踪调查(CHARLS),该调查由北京大学国家发展研究院开展,覆盖了全国150个县、区的450个村、居。本研究选取了60岁及以上(2011年)的样本,共计7334人,主要使用了调查中基本人口信息、家户和家庭信息等调查内容。本研究的空巢老人指的是身边无子女或其他亲属一起生活的60岁及以上的老年人,包括仅与配偶共同居住和因丧偶、离婚、未婚等原因而独居的老人。根据研究目的,本研究将老年人居住状态划分为独居、夫妻居、与其他人同住,期末则增加“死亡”状态,除死亡状态外,居住状态之间可以相互转换(见图1)。
样本中大部分老年人在2013年追踪调查时仍然保持着其2011年的居住安排,独居、夫妻居和与其他人同住的稳定性依次增加。对于发生居住状态转换的老年人来讲,独居和夫妻居的老年人更容易转向与其他人同住,而与其他人同住的老年人则主要转变为夫妻居。
本研究使用多状态生命表法对中国老年人空巢预期寿命进行估计。首先通过多分类logit模型对状态转换概率进行估计,然后基于状态转换概率构建多状态生命表,最后再对基于人口的和基于状态的各年龄空巢预期寿命分别进行估计。基于人口的空巢预期寿命指全体人口从某一年龄直到死亡过程中在空巢状态上度过的时间;基于状态的空巢预期寿命指初始处于某个居住状态的人从某一年龄直到死亡过程中在空巢状态上度过的时间。
60岁老年人的空巢预期寿命接近14年
中国老年人进入60岁时的平均余寿为22.7年,其中空巢预期寿命为13.8年,占比为60.95%。随着年龄的增长,平均余寿和空巢预期寿命都在下降,空巢预期寿命占余寿比重却呈现出先上升而后再下降的趋势(见图2),转折点为70岁(占余寿比重为61.93%,以下括号中相同),至90岁时,老年人空巢预期寿命占比降为52.24%。
这一趋势反映了从60岁开始的整个老年期年龄与老年人空巢之间存在曲线关系:随着年龄的增长,老年人空巢的可能性先缓慢增加在70岁后不断下降。70岁之前子女因工作、学习、结婚等相继“离巢”和此时老年人对子女需求较少是老年人空巢可能性增加的主要原因;而随着年龄的继续增长,老年人的健康状况恶化,部分老年人的婚姻状况也发生了转变,从有偶变成无偶,老年人对子女的照料需求增加,同时老年父母可以提供整理家务、照料年幼孙子女等的劳动来满足子女的需求进而降低其空巢的可能性。有研究表明年龄对老年人家庭空巢的这一影响是不断发生变化的,老年人收入的增加、健康状况的提高,以及政府支持的可获得性的改善将使得老年人选择与子女同住的年龄趋向于推迟。
男性老年人空巢预期寿命低于女性老年人。60岁时男性老年人空巢预期寿命为13.4年(62.04%),女性老年人的空巢预期寿命为14.2年(59.78%),女性老年人空巢预期寿命略长,相差0.8年。空巢预期寿命的性别差异主要源于女性预期寿命更长。而空巢预期寿命占余寿比重的性别差异则是因为女性与子女的情感联系更加紧密,且较年轻和健康的女性老人可以帮助子女做家务、照料孙子女等因而更不容易空巢,但在高龄阶段男女两性老人的差异逐步缩小。以往研究表明,配偶离世会增加老人与其子女一起生活的可能性,女性老人更高的丧偶率及其更缺乏资源和独立居住能力也使得女性老人更依赖于子女的抚养。
城市老年人空巢预期寿命低于农村老年人。60岁时城市和农村老年人空巢预期寿命分别为13.3年(54.40%)、13.9年(63.08%)。在加入性别变量后,两性老人的城乡差异模式不变。快速的城镇化引起大规模的农村青壮劳动力的乡城流动是其主要原因,另外,大城市住房短缺、城市老年人往往拥有更多的社会资源均降低了城市老年人空巢的可能性。
受教育水平越高,老年人空巢预期寿命越长。文盲和半文盲、小学、初中、高中及以上教育水平的60岁老年人空巢预期寿命分别为12.8年、13.5年、15.4年、17.5年。加入性别变量后,两性老人的教育水平差异模式不变。受教育水平越高,其收入、健康和社会保障越高,独立自主生活的能力越强,对独居和隐私的需求更大,更能够摆脱传统观念,愿意且能够选择自己的理想居住形态。
年纪越大,夫妻居空巢越少
老年人空巢状态包括独居和夫妻居,中国60岁老年人的独居预期寿命和夫妻居预期寿命分别为3.8年和10.0年,占余寿百分比分别为16.8%和44.15%。独居和夫妻居预期寿命均随着年龄的增长而下降,占余寿比重却呈现相反的趋势:夫妻居预期寿命占余寿比重不断下降,独居预期寿命占余寿比重则缓慢增加。随着老年人年龄的增加,死亡率增高导致丧偶的可能性逐渐增加,因此其空巢预期寿命中独居的可能性增大,夫妻居的可能性减小。
女性老年人的独居预期寿命是男性老年人的两倍。60岁时男女两性老人的独居预期寿命分别为2.5年(11.56%)和5.3年(22.42%),夫妻居预期寿命分别为10.9年(50.48%)和8.9年(37.36%)。男性老年人的独居预期寿命及其占余寿比重均低于女性,而夫妻居性别差异则相反,其主要原因为男性老人较高的死亡率和再婚率。
城乡老年人的独居预期寿命相同。60岁城市和农村老年人独居预期寿命均为3.8年(占比分别为15.43%和17.4%),夫妻居预期寿命分别为9.5年(38.97%)和10.1年(45.69%)。城市老人独居预期寿命及其占比在各个年龄均低于农村,城市老人夫妻居预期寿命在低龄组低于农村,在75岁后高于农村,但其占余寿比重一直低于农村。主要是因为农村老人较高的死亡率导致的平均余寿较低而丧偶率较高。
受教育程度越高的老年人,夫妻居预期寿命越高。受教育水平为文盲和半文盲、小学、初中、高中及以上的60岁老年人独居预期寿命分别为4.5年(20.23%)、3.6年(16.29%)、3.1年(13.17%)、4.7年(16.69%),夫妻居预期寿命分别为8.2年(36.73%)、10.0年(45.52%)、12.3年(52.17%)、12.7年(45.56%)。
空巢老人预期寿命受初始居住状态的影响
初始为独居和夫妻居的60岁老年人的空巢预期寿命均为16.2年(占余寿比重分别为70.98%和70.77%),而初始为与其他人同住的老年人的空巢预期寿命仅为10.6年(47.5%)。初始为空巢状态的老年人空巢预期寿命及其占余寿比重在各个年龄段均高于初始为非空巢居住状态的老人,其占余寿比重的差异随着年龄的增加不断拉大。在空巢状态中,初始为夫妻居的老年人的空巢预期寿命及其占余寿比重高于初始为独居的老年人。这意味着老年人的空巢预期寿命受到当前居住状态的影响,年龄越高老年人空巢状态越难得到逆转,而初始为夫妻居的空巢状态逆转更难。与独居相比,老年夫妻一起居住的状态更为稳定,因而更容易保持空巢状态。
最后需要指出,由于CHARLS 2011年调查中机构老年人没有进入抽样,可能会导致对老年人预期寿命的估计有所偏高。
(作者陈卫系中国人民大学人口与发展研究中心教授,段媛媛系中国人民大学社会与人口学院博士研究生)