新浪新闻

物理所等二维电子气的高效自旋-电荷转换效应研究取得进展

中国科学院网站

关注

原标题:物理所等二维电子气的高效自旋-电荷转换效应研究取得进展


自旋流的产生、调控以及自旋流-电流的转换是自旋电子学研究的核心问题。在上世纪90年代,V. M. Edelstein 预言与二维体系电流传输方向相垂直的方向上会产生纯自旋流,即Edelstein效应。与此相反,当自旋流被注入二维电子体系时,二维界面的Rashba效应可使电子发生与自旋取向有关的定向偏转,产生相应的电信号,这就是所谓的逆Edelstein效应。近年来人们在Rashba界面、二维材料以及拓扑材料表面态中均观察到由于Edelstein效应和逆Edelstein效应产生的高效的自旋流和电荷流相互转换。

氧化物二维电子气体系(LaAlO3/SrTiO3)是一个理想的Rashba界面,是实现自旋流和电荷流相互转化的理想载体。中国科学院物理研究所/北京凝聚态物理国家研究中心磁学国家重点实验室孙继荣团队与北京大学教授韩伟合作,利用铁磁共振实现自旋泵浦的办法,在LaAlO3/SrTiO3界面观察到了自旋与电荷流之间的相互转化,其自旋信号可以持续到室温,并且可以利用门电压进行调控(Sci. Adv. 3, e1602312 (2017))。利用上述办法虽然观察到了自旋流与电荷流之间的相互转化,但这其中存在着两个问题一直困扰着研究人员,一是自旋泵浦效应存在着寄生信号,影响对真实信号的判断;二是自旋流在传输的过程中要穿过绝缘的LaAlO3层,极大地降低了自旋注入效率。

经过长时间探索,最近该团队成功得到了EuO/KTaO3磁性二维电子气 (Phys. Rev. Lett. 121, 116803 (2018))。这是首例由磁性绝缘体/高介电绝缘体构成的新型二维电子气。EuO是铁磁绝缘体,与KTaO3界面形成导电界面。由于EuO对于KTaO3界面的磁邻近诱导效应,EuO/KTaO3 二维电子气显示了明显的铁磁特征。同时,由于磁性EuO与二维电子气直接接触,借助这一设计可以克服非磁性绝缘层的阻碍作用,实现从EuO到二维电子气的直接自旋流注入,并通过二维电子气的逆Edelstein效应实现自旋流–电荷流的转换。

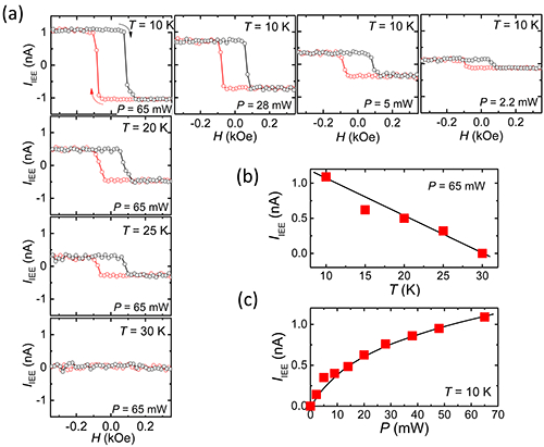
最近,在孙继荣指导下,博士研究生张洪瑞等人利用热自旋注入的办法,通过二维电子气的转换作用,成功实现了自旋流-电荷流的高效转化。具体实验过程是,首先在EuO中建立温度梯度,利用温度梯度驱动非平衡磁振子扩散,进而形成自旋流。由于EuO和二维电子气的密切接触,磁振子自旋流直接注入KTaO3界面层的二维电子气中。由于界面的Rashba 效应,自旋注入引起电子动量不对称分布,从而产生电流输出。由于没有非磁性绝缘阻挡层,以及界面二维电子气的强Edelstein效应,自旋-电荷转换是高效的。简单的比较表明,在同样磁性层厚度下,低温下EuO/KTaO3二维电子气的自旋塞贝克系数是YIG/Pt异质结的19倍,而YIG/Pt是公认的最优自旋塞贝克体系。通过系统研究,他们还进一步确定了非平衡磁振子在EuO中的扩散长度为16 nm。

以往利用自旋泵浦对氧化物界面进行自旋注入,是通过在磁性层与二维电子气之间交换电子实现的,且中间间隔非磁性绝缘层。该研究中自旋流由EuO中非平衡磁振子的扩散形成,且直接注入EuO/KTaO3界面,通过磁振子与界面电子的交换作用及自旋-电子动量锁定效应实现转换,因而是一种新的注入与转换方式。这一工作揭示了磁性二维电子气的新特性及氧化物自旋电子学研究的巨大潜力。

该工作中的样品制备与韩伟合作完成。

这一工作发表在Nano Letters上(Nano Letters 19, 1605 (2019))。该工作得到科技部、国家自然科学基金委项目和中科院重点项目的支持。

文章链接

    图1. EuO/KTaO3界面的热自旋注入和逆Edelstein效应示意图。(a) 自旋塞贝克逆Edelstein效应的实验装置图。(b) Rashba型二维电子系统的能带结构。(c) 处于平衡状态和非平衡状态的费米面。

    图2. EuO/KTaO3界面的自旋塞贝克逆Edelstein效应,其中EuO厚度是15 nm。(a) 左列是不同温度下热电电流随磁场的变化;水平列是不同加热功率下热电电流随磁场的变化。(b) 热电电流随样品温度的变化,加热功率是65 mW。(c) 热电电流随加热功率的变化,样品温度是10 K。

    图3. 不同EuO厚度样品的自旋塞贝克逆Edelstein效应。(a) 不同EuO厚度样品热电电流随磁场的变化,测试温度是10K,施加的温度梯度是18.8 K/cm。(b) 热电电流随EuO厚度的变化。

    图4. 自旋塞贝克系数随着EuO/KTaO3和YIG/Pt 异质结中磁性层厚度的变化,温度固定在10K,Pt的厚度在5~10 nm。

加载中...