高度过掺杂CuO中无节点高温超导电性理论研究取得进展
中国科学院网站
原标题:高度过掺杂CuO中无节点高温超导电性理论研究取得进展
在铜基高温超导体中,一个广泛的共识就是超导来源于2维CuO2面。从80年代发现铜基高温超导体起,大量的实验表明铜基超导是一个存在节点的d波配对超导体,其中著名的实验包括美国IBM实验室崔章琪等人在三晶约瑟夫森结中发现的自发量子化磁通实验。2016年,清华大学薛其坤团队成功地利用分子束外延技术在d波Bi2Sr2CaCu2O8+δ(Bi2212)超导衬底上生长出单层CuO2面。不同于在d波超导体中的节点V型局域态密度,扫描电子显微镜(STM)在单层CuO2面上发现无节点U型局域态密度。这一实验结果对铜基高温超导体中已经广泛认可的CuO2面d波配对超导体提出新的挑战。
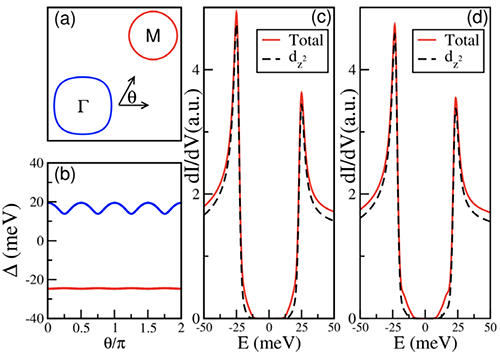
最近,中国科学院物理研究所/北京凝聚态物理国家研究中心凝聚态理论与材料计算重点实验室研究员胡江平(T06组)与美国波士顿学院教授汪自强、波士顿学院博士后蒋坤和德国维尔茨堡大学博士后(物理所博士)吴贤新合作,通过理论计算发现在Bi2212上的单层CuO2面是一个多轨道引起的全能隙,无节点高温超导体。首先,密度泛函理论计算表明,CuO2/Bi2212界面上存在着大量的电荷转移,使得CuO2单层高度过掺杂到3d8 Cu3+状态附近。在常规铜基超导中,Cu处于3d9 Cu2+状态附近。通常可以通过构建单带以\(d_{x^{2}-y^{2}}\)为主的Zhang-Rice单态描述CuO2的电学性质。但在3d8 Cu3+状态情况下,Cu的\(d_{x^{2}-y^{2}}\)和\(d_{3z^{2}-r^{2}}\)轨道都变得很重要。通过构建一个eg两轨道模型发现高度过掺杂CuO2单层存在两个不同费米面。在布里渊区中心Γ点和边角M点,分别存在一个电子型费米面(Γ)和一个空穴型费米面(M)。借鉴铁基超导中S±波配对经验,CuO2单层同样也可以得到S±波配对。鉴于自旋自由度和轨道自由度都起重要作用,自旋轨道交换作用会产生具有延展S波配对对称性,并且能隙与块体d波能隙可比的无节点超导体。这些结论与薛其坤团队实验吻合。这一研究为高度过掺杂区铜基超导,尤其是臭氧环境下过渡金属氧化物异质结提供新的研究方向。
相关研究结果发表在近期的《物理评论快报》上(Phys.Rev.Lett. 121,227002(2018))。该研究得到科技部(2017YFA0303100,2015CB921300)、国家自然科学基金委(1190020,11534014,11334012)以及中科院(XDB07000000)的资助。
文章链接

图1: 随着空穴掺杂浓度(xh)的铜基超导示意相图。图左边是在通常块体中实现的单带d波超导体,图右边是在单层CuO2/Bi2212中实现的双轨道无节点超导体。插图显示它们各自的费米面。

图2: (a) 单层CuO2原子结构。\(d_{3z^{2}-r^{2}}\)轨道用金色和银色表示,氧离子用蓝色的球表示。(b)密度泛函计算出的单层CuO2能带结构。红色的菱形表示dx2轨道,绿色三角形表示dz2轨道,蓝色三角形表示O pz轨道。(c)紧束缚近似下的能带结构(d)xh=0.9下的费米面。在布里渊区中心Γ点和边角M点,各存在一个电子型费米面(Γ)和一个空穴型费米面(M)。

图3:(a)xh=0.9下的费米面。(b)随着(a)中定义角度变化下超导配对能隙。(c)(d)U型局域态密度显示无节点25meV能隙。