量子相变标度行为研究取得进展
中国科学院网站
原标题:量子相变标度行为研究取得进展
二维和三维二聚海森堡模型中从反铁磁态到顺磁态的量子相变是目前研究比较透彻的量子相变问题,且三维系统中该类相变已经在实验材料中得到实现,但此类相变中标度律和普适类等根本性问题仍然存有争议。最近,由中国科学院物理研究所/北京凝聚态物理国家研究中心理论室博士后马女森、特聘教授Anders W. Sandvik,与中山大学教授姚道新、波士顿大学博士生Phillip Weinberg,以及北京师范大学教授邵慧、郭文安等人组成的研究团队(以下简称该团队),运用大规模量子蒙特卡洛计算和新的有限尺寸标度分析方法,解决了一个在二维二聚反铁磁海森堡模型量子相变普适类研究中存在近十年的争议性问题,完善了对该类型相变的理解和认识,对于其他量子相变的标度理论分析也具有指导意义。
团队成员研究了如图1中所示的两种不同的二维二聚化量子自旋系统,调节自旋之间的耦合相互作用诱发的,从反铁磁态到顺磁态的量子相变。此前的计算工作指出,这两个只在细节上略有不同的二聚化模型具有不同的相变临界指数,其中交错状分布的二聚化模型(图1(a))相变临界指数小于理论分析预测的O(3) 普适类标准值,而柱状分布的二聚化模型(图1(b))临界指数与 O(3) 普适类预测符合。这一结论自提出以来一直倍受争议,因其结果不符合标度性和普适类分析的基本原则(即模型的细节不应该影响具有普适性的临界指数)。后来有工作在一定程度上给出两种模型临界指数相等的证据,建议两种情况的区别只体现在有限尺寸标度分析的修正中,但是这些研究没有给出这一修正的具体结果,也无法确定地解释为什么之前数值分析得到的临界指数偏小。
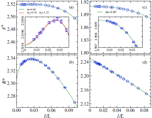
该团队运用随机级数展开量子蒙特卡洛计算方法对这两种模型进行了目前为止最为细致和最大尺寸的数值研究,并提出了运用更多测量数据进行整体分析的有限尺寸标度分析方法。研究发现交错二聚化模型中物理量和临界点随有限尺寸呈现非单调变化的标度行为(图2(a)、(b)),这与单调变化的柱状模型(图2(c)、(d))有明显区别。这一发现解释了之前的计算得到的不符合O(3) 普适类临界指数的起源,并找到了不同于一般O(3) 相变的修正指数。非单调标度行为的发现证明了尺寸修正项对有限尺寸标度分析的关键作用,以及大尺寸计算对于相变分析的重要性,为今后的数值分析提供了一套非常严谨的研究思路和分析方法。该团队在这项研究中采取的标度分析方法能够提高拟合结果的准确性,降低误差,适用于今后其他体系数值研究的结果分析。
相关工作发表在最近一期的《物理评论快报》上(Phys. Rev. Lett. 121,117202 (2018))。这项工作得到科技部重点研发计划(2017YFA0206203、2015A030313176),自然科学基金委项目(11574404、11275279、11775021、11734002),中国博士后科学基金(2016M600034、2017T100031)和广东省领军人才计划的支持。量子蒙特卡洛模拟所需的大规模并行计算在广州国家超算中心天河2号、天津国家超算中心天河1号和波士顿大学共享计算集群平台上完成。
图1: 两种不同的二聚化反铁磁海森堡模型,粗红色为强耦合J2,细黑色为弱耦合J1。其中(a)J2呈交错状分布,(b)J2呈柱状分布。

图2: (a)交错状二聚化模型的相变点非单调变化的标度行为;(b)交错状二聚化模型的物理量非单调变化的标度行为;(c)柱状二聚化模型上相变点单调变化的标度行为;(d)柱状二聚化模型上物理量单调变化的标度行为。