广州地化所发现氯呼吸菌对HBCD对映和非对映体异构体的厌氧降解机制
中国科学院网站
原标题:广州地化所发现氯呼吸菌对HBCD对映和非对映体异构体的厌氧降解机制
六溴环十二烷(HBCD)是一种在建筑、纺织和电子领域使用量最大的脂环族添加型阻燃剂,由于其具有高毒性、持久性和生物富集性,已被列入《斯德哥尔摩公约》新增受控持久性有机污染物(POPs)名单中。HBCD疏水性强,容易蓄积在缺氧的沉积物环境中,会对生态环境和人体健康造成严重危害。因此,HBCD的环境污染问题已经引起了国内外的广泛关注。HBCD由16种同分异构体组成,其中(±)α-HBCD、(±)β-HBCD、(±)γ-HBCD是在环境中主要检测出的HBCD同分异构体。同分异构体物理化学性质的不同会导致其生物毒性和降解行为具有显著差异。厌氧微生物降解是沉积环境中HBCD自然衰减过程中最重要的途径之一。然而,国内外关于HBCD同分异构体的厌氧生物降解一直缺乏深入研究。
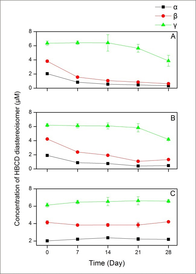
近期,中国科学院广州地球化学研究所研究员彭平安、副研究员钟音和美国罗格斯大学教授Lily Young、黄伟林合作开展了HBCD厌氧微生物降解研究。研究发现在厌氧环境中广泛存在的氯呼吸菌Dehalococcoides mccartyi能利用HBCD为唯一电子受体对HBCD进行还原脱溴(图1)。经过42天的实验,12 μM HBCD的还原脱溴率达到了75%,生成三种脱溴产物,分别为四溴环十二烷碳一烯、二溴环十二碳二烯和环十二碳三烯。HBCD的厌氧微生物降解具有非对映体选择性,三种异构体的降解速率依次为α-HBCD > β-HBCD > γ-HBCD(图2)。然而,HBCD的对映体降解不具有选择性。此外,其它生长基质(如四氯乙烯)的添加对HBCD的降解效率、对映体和非对映异构体的降解选择性均无显著影响。
该研究首次报道了氯呼吸菌对HBCD对映和非对映体异构体的厌氧降解机制,为缺氧环境中HBCD异构体的降解、转化、风险评估和微生物修复提供了重要的科学依据。
相关研究成果于近期发表在国际期刊Frontiers in Microbiology上,该项研究得到国家自然科学基金(Nos. 41120134006和 41473107)的资助。
论文链接

图1 氯呼吸菌Dehalococcoides mccartyi 对HBCD的厌氧降解

图2 氯呼吸菌Dehalococcoides mccartyi对α-HBCD、β-HBCD和γ-HBCD的厌氧降解