物理所等在CrAs螺旋磁有序量子临界点研究中取得进展
中国科学院网站
原标题:物理所等在CrAs螺旋磁有序量子临界点研究中取得进展
CrAs是具有螺旋反铁磁序的关联金属。常压下,CrAs具有“MnP”型正交晶体结构,随着温度降低,在TN ≈ 265 K会发生一级的顺磁-反铁磁相变,形成双螺旋反铁磁结构,即Cr离子自旋(~1.7μB)躺在ab平面内旋转,螺旋传播方向沿着c轴。实验还发现,螺旋反铁磁相变还同时伴随着等结构转变,即空间群保持不变,但晶格参数出现跳变,特别是b轴在TN处突然变化~4%,同时电阻率和磁化率在TN处也表现出跳变。2014年,中国科学院物理研究所/北京凝聚态物理国家研究中心极端条件物理实验室的雒建林研究组和程金光研究组联合日本东京大学教授Yoshiya Uwatoko等合作者,通过对CrAs单晶开展高压下的电阻率和交流磁化率测量,发现高压会逐步抑制一级反铁磁相变,并首次在反铁磁序消失的临界压力Pc≈7kbar附近观察到体超导电性,实现了Cr基化合物超导体零的突破(Nat. Comm., 2014, 5, 5508)。接着,他们又利用高压抑制了MnP中的长程磁有序并观察到超导电性,实现了首个Mn基化合物超导体(Phys. Rev. Lett. 2015, 114, 117001)。这些发现吸引了国内外同行的较大关注,他们应邀撰写了关于CrAs和MnP压致超导的综述(J. Phys.: Cond. Matter. 2017, 29, 383003)。由于在CrAs的温度-压力相图中,超导相毗邻螺旋反铁磁有序相,跟铁基和重费米子等非常规超导体的相图非常类似,意味着反铁磁临界涨落可能是超导电子配对的重要媒介。然而,由于CrAs的螺旋反铁磁序同时伴随着强烈的一级等结构相变,之前的研究并没有给出螺旋反铁磁序和结构相变随压力演化的直接证据,而且在超导出现的临界压力附近是否存在强的反铁磁临界涨落缺乏实验依据。
为了深入解释CrAs中的超导电性与螺旋反铁磁序之间的关联,程金光研究组和雒建林研究组联合美国橡树岭国家实验室、日本东京大学、中国人民大学、美国莱斯大学等多个研究机构的合作者,采用物理压力和化学压力相互补充的研究思路,测量了CrAs单晶高压下的中子衍射、CrAs1-xPx样品的非弹性中子散射,详细分析了CrAs单晶高压下的电阻率和磁化率数据以及CrAs1-xPx单晶的电阻率和比热数据,全面获得了结构相变和螺旋反铁磁序随压力演化的规律以及自旋涨落的动力学信息,并提供了反铁磁量子临界涨落对正常态电输运性质影响的重要实验证据,最后结合理论分析,指出尽管结构相变仍为一级相变,但螺旋反铁磁相变在压力下消失时接近连续的二级相变。对CrAs的这些研究结果进一步体现了“bad metal”中量子临界性的典型特征,为理解CrAs甚至铁基超导体系中的非常规超导机制提供了新的思路。相关成果近日发表在Phys. Rev. X 8, 031017 (2018)。
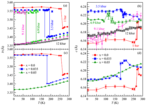
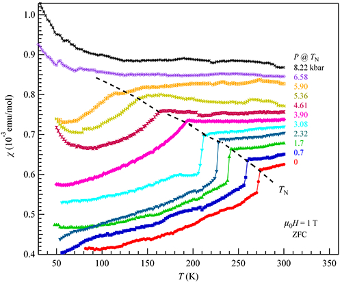
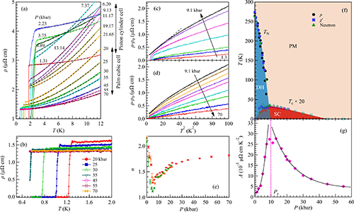
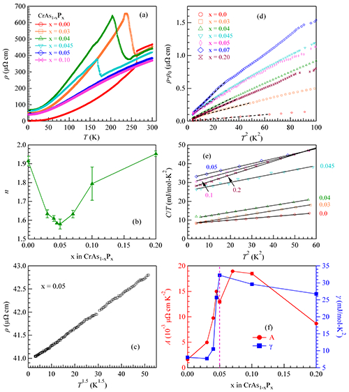
图1对比显示了物理压力和化学压力对CrAs结构相变的影响,其中的晶格参数b和c是采用弹性中子衍射测量的。对于CrAs单晶,随着压力增加,结构相变温度逐渐向低温移动,但保持强烈的一级相变特征,在~9 kbar以上时完全消失;对于CrAs1-xPx单晶,由于P的离子半径小于As,相当于对CrAs施加了化学压力,结构相变温度也随着P掺杂量增加而逐渐降低,在xc ~5%掺杂时完全消失。图2给出了CrAs1-xPx单晶螺旋反铁磁序随温度和压力的演化规律,同样可以看到~ 9 kbar压力可以抑制螺旋反铁磁序,而5%-P掺杂的样品已无磁有序。上述结果表明,物理压力和化学压力在抑制CrAs的结构相变和螺旋反铁磁序起到非常类似的效果。因此,可以预期CrAs在稍大于临界压力Pc的结构和磁性应该与CrAs1-xPx在xc附近的性质是类似的。这使得研究人员可以通过在常压下测量CrAs1-xPx在xc附近的非弹性中子散射间接获得CrAs在Pc附近的自旋动力学信息,这对于理解自旋涨落与超导的联系至关重要。在此基础上,研究人员测量了CrAs1-xPx(x = 0, 0.06)样品的非弹性中子散射,如图3所示。对于CrAs单晶,TN以下出现很强的磁激发谱,分别对应不同的磁性Bragg峰;而对于没有长程磁有序的CrAs0.94P0.06样品,只在Q ~ 1.0 -1出现非常宽的磁激发谱,其对应次近邻Cr离子间的反铁磁关联,这也是CrAs中最强的自旋交换作用Jc2,这意味着与Jc2相关的短程反铁磁自旋关联可能与CrAs中的超导有关。图4给出了CrAs单晶在高压下的直流磁化率数据,从中可以看出,随压力升高磁有序温度逐渐降低,相变特征从突然跳变逐渐转变为连续的拐点,而且在6 kbar以上表现出居里-外斯型温度依赖关系,进一步表明在长程磁有序接近消失时存在强烈的自旋涨落,与非弹性中子散射的结果一致。基于以上弹性和非弹性中子散射以及高压下的直流磁化率测量,研究人员不仅获得了结构相变和螺旋反铁磁序随压力演化的直接证据,而且在磁有序消失的临界压力和组分附近还观察到短程反铁磁关联,表明螺旋反铁磁的量子临界涨落可能与超导电性存在密切联系。为了获得量子临界性的进一步实验证据,研究人员详细测量并分析了CrAs单晶高压下的电阻率,如图5所示,在临界压力附近观察到非费米液体行为(即ρ ~ T1.5)和电子有效质量的显著提高,这两点是量子临界点的标志性特征。同样的,对于化学掺杂的CrAs1-xPx系列样品,研究人员也观察到类似的现象,更重要是的,研究人员通过低温比热的测量提供了电子有效质量在xc附近增强的直接证据,如图6所示。为了理解CrAs中螺旋反铁磁序和结构相变耦合在一起的量子临界性,中国人民大学的俞榕和美国莱斯大学教授斯其苗对CrAs进行了理论分析,如图7所示,他们的结果指出,虽然结构相变保持强烈一级相变,但是螺旋反铁磁相变在接近消失时应该为连续二级相变,从而使得量子临界相变成为可能。
上述研究工作得到国家自然科学基金委、科技部、中科院B类先导专项和前沿重点项目的支持。
论文信息:M. Matsuda, F. K. Lin, R. Yu, J.-G. Cheng*, W. Wu, J. P. Sun, J. H. Zhang, P. J. Sun, K. Matsubayashi, T. Miyake, T. Kato, J.-Q. Yan, M. B. Stone, Qimiao Si, J. L. Luo, and Y. Uwatoko; Evolution of magnetic double helix and quantum criticality near a dome of superconductivity in CrAs; Phys. Rev. X (2018) 8, 031017.
论文链接

图1. 物理压力和化学压力对CrAs结构相变的影响

图2. 物理压力和化学压力对CrAs螺旋磁有序的影响

图3. CrAs和CrAs0.94P0.06多晶样品的非弹性中子散射结果

图4. CrAs单晶高压下的直流磁化率数据

图5. CrAs单晶高压下的电阻率数据和分析结果

图6. CrAs1-xPx单晶样品的电阻率和低温比热数据

图7. 对CrAs的理论分析结果(详见正文)