苏州医工所在低成本桌面磁共振波谱仪研究中取得进展
中国科学院网站
原标题:苏州医工所在低成本桌面磁共振波谱仪研究中取得进展
核磁共振波谱(NMR)技术已被广泛应用于生命科学、医学、化学、工业等领域。然而,目前NMR技术的主要应用都是基于超导磁体的高场波谱仪,其场强最高可达11T。然而由于超导磁体需要液氦冷却,其重量、体积以及维护成本等约束了NMR的使用,特别是在一些对于体积要求比较小、可移动、可实时在线检测的场景。比如部分化学合成、催化实验中需要实时监测反应结果;在工业非侵入检测质量控制中,需要高通量检测等。在这些场景下,常用的超导NMR的使用受到限制,因此桌面小型NMR的研究有广泛的开发和应用前景。
目前国外对于桌面小型波谱技术开展研究比较多。2010年德国Danieli等人设计了基于HALBACH磁体的0.7 T的桌面NMR系统,其磁体均匀度可以达到0.15 ppm,并将其应用在化学反应实时监测上。2008年,哈佛大学的Lee等人成功研制了片上NMR系统,磁场强度0.5 T,用于高通量细胞分子分析。国内开展的相关研究较少,且主要集中在低场、低均匀度、驰豫测量的应用。其磁体强度小于0.5 T,均匀度高于50 ppm,谱分辨率比较低。
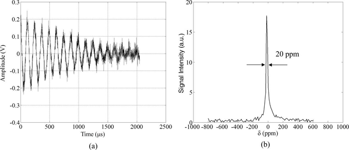
近日,中国科学院苏州生物医学工程技术研究所医学影像室杨晓冬、郁朋等人,研究了一种基于Halbach磁体的低成本紧凑型小型核磁共振系统。该系统具有结构紧凑和场强高的优势。考虑到制造和组装磁性块的成本,系统采用3层Halbach磁体和楔形机械结构用于磁体快速组装。初始磁场强度分布的仿真和计算结果的比较表明,设计理论和实践相吻合。在使用两个磁性块和钨钢片进行无源被动匀场后,在同一区域内均匀性达到120 ppm,开发并测试了具有数字调制和解调功能的紧凑型单板数字化磁共振谱仪以实现结构紧凑和改善信噪比,并使用自制探头进行波谱实验,在直径为1.5 mm,长度为1 mm的圆柱区域内,波谱半高宽达到20 ppm,达到国内领先地位。系统紧凑的结构和低成本的优势将促进和扩展桌面核磁共振系统在各领域内的应用,具有重要的意义。
相关成果发表于Journal of Magnetic Resonance(PengYu,Yajie Xu,Zhongyi Wu,Yan Chang,Qiaoyan Chen, Xiaodong Yang *, A Low-cost home-built NMR using Halbach magnet, Journal of Magnetic Resonance, 21,July,2018)。
文章链接
图1 基于Halabch磁体的桌面波谱仪及其匀场结构示意图

图2. (a) z = 0平面5 mm 长度正方体磁场分布,场均匀度为 576 ppm;(b) 使用磁块匀场后磁场分布图,均匀度达到 350 ppm;(c) 增加钨钢片匀场后磁场分布图,均匀度达到120 ppm

图3. (a)单板磁共振数字化谱仪;(b)自制磁共振波谱探头

图4. (a) 数字解调后的FID信号波形;(b) 水样本的波谱频率图