“爸爸你能住在我家里吗?”三年级作文暖心刷屏!
中国青年网
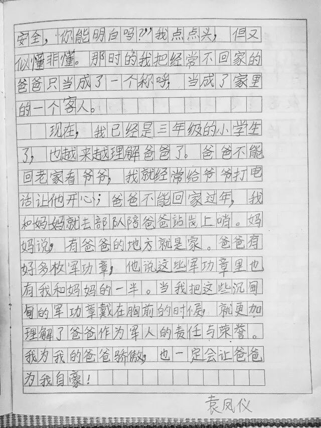
近日,一篇三年级小学生的作文,感动了身边的很多人,作文的题目是《我的好爸爸》。
小朋友在作文里写道:
“爸爸的工作很忙,一周只能回家一次。从幼儿园到小学,爸爸都没有为我开过家长会,也很少接送我。”
“爸爸家在部队,爸爸的家里有好多穿着军装的叔叔,而我的家里只有妈妈和我。”
“爸爸,今天晚上你能住在我的家里吗?”
虽然很羡慕别的小朋友能和爸爸一起玩。但是:现在她越来越理解爸爸了,理解了爸爸作为军人的责任与荣誉!
“爸爸不能回老家看爷爷,我就经常打电话给爷爷,让他开心。”
“我为我的爸爸骄傲,也一定会让爸爸为我自豪。”



这篇作文是三年级小学生袁凤仪写的。正如作文中,袁凤仪小朋友写道的,爸爸曾对她这样说:“爸爸不在你身边的时候,一定是在保卫你和妈妈还有许许多多小朋友、大朋友的安全!”
孩子想念爸爸,爸爸同样思念孩子。说到这里,小青想起了那位在"生命禁区"--西藏戍守的边防军官。在儿子出生十天后就匆匆返回了驻地。临走时,这位军人爸爸给刚出生不久的儿子写了一封信,一封父爱满满的信!
小小邓儿,都说父爱如山,在你呱呱坠地的那一刻,抱着你就如同拥有了全世界,四目相对的那一刻,再坚毅的心也随之融化。相聚总是太短暂,离开的那天,坐上车的那一刻,我哭了,不敢回头,不敢凝望那远去的身影。
在你妈妈眼里,我是一名优秀的军人,但我深知,我不是一名合格的丈夫和父亲,我亏欠了这个家,太多太多。第一次胎检我缺席,第一次建卡我不在,怀胎十月,你妈妈一个人承担了太多太多。而今年,又将缺席你一岁生日。每天繁忙之余,只能默默的看着你和妈妈的照片傻傻的笑;只能静静的在电话这头仔细凝听你的声音。
小小邓儿,爸爸不能见证你长出第一颗牙齿,不能陪伴你第一次走路,不能帮你检查功课……太多的不能,希望你有一天能够原谅,我只想说,对不起孩子,因为你的爸爸是名军人。
除此之外,另一篇三年级小学生的作文《我的爸爸——火箭设计师》也在朋友圈刷屏了。小朋友写道:爸爸工作非常劳累,还很敬业,很少有时间陪我,希望爸爸能多陪陪我。


看完孩子的作文,这位父亲回应道:十多年了,一直在为火箭的立项、试验、发射而奔走忙碌。算了算自己的时间,确实陪伴火箭的时间比孩子多多了。我的很多同事都是这样。
作为一名孩子的爸爸或妈妈,在为了家庭、为了国家而奋斗时,除了那句在心头却不常说的“我爱你”,能听见孩子说“长大了也要像爸爸妈妈一样”,更是打心底里骄傲和自豪。
看了小朋友的作文和父亲们的信,那些坚守在岗位上奋斗的人们也感慨:“无怨无悔”。



不少网友更是纷纷感谢和致敬那些为祖国默默奉献的人们。
国家强大的背后,因为有你我他!

通讯员:姜润邈
参考:人民日报、新华网、@中国航天科技集团
责编:宋莉