新浪新闻

合肥研究院钙钛矿结构RCrO3体系磁性及磁电效应研究取得进展

中国科学院网站

关注

近日,中国科学院合肥物质科学研究院固体物理研究所功能材料研究室尹利华等研究人员在钙钛矿结构Cr基氧化物的磁性及磁电效应等方面的研究获得新进展,相关结果发表在Applied Physics Letters等期刊上。 

磁性是物质的基本属性,磁性物质在信息存储、磁制冷等现代科学技术和生产生活中广泛应用。具有简单钙钛矿结构的RCrO3(R=稀土元素)及其Fe掺杂体系具有很强的磁电效应,还表现出较大的磁热效应及温度诱导的磁矩翻转等现象,近年来已受到越来越多的关注。但是,其微观机理尚不明确,甚至该体系中观察到的磁电效应是否为本征属性仍存在争议。因此,对该体系的磁性及磁电效应进行系统研究具有重要的科学意义,有助于理解其微观机理,探寻新型磁性功能材料及磁电材料。合肥研究院固体所研究人员对一系列Fe掺杂的RFe0.5Cr0.5O3 (R=Y, Sm, Nd, Dy, Gd等)多晶、RCrO3 (R=Gd, Tb, Dy, Er, Nd等)及其掺杂体系单晶的磁电效应进行了系统研究。 

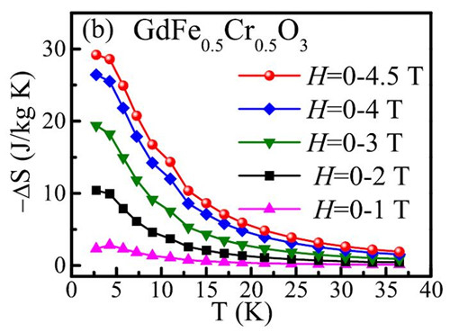
研究发现,Fe掺杂的RFe0.5Cr0.5O3 (R=Y, Sm, Nd, Dy, Gd等)体系,除了具有巨磁热效应、温度诱导的磁矩翻转、只改变外加磁场大小而无需改变磁场方向的磁矩翻转等现象外,在室温以下还表现出两个相继发生的介电弛豫行为。分析表明,该体系中温度诱导的磁矩翻转现象不仅与R-Cr/Fe磁相互作用有关,还与Fe-Cr磁相互作用密切相关。而在低温下发生的两个介电弛豫则分别与电子在富Cr团簇及富Fe团簇内的跳跃有关,其中富Cr/Fe团簇是由体系中Fe/Cr无序引起的。相关研究相继发表在Materials Research Bulletin、Applied Physics Letters等期刊上。 

为了进一步深入研究RCrO3体系的磁电效应及温度诱导的磁矩翻转等现象的微观机理,研究人员生长了RCrO3 (R=Gd, Tb, Dy, Er, Nd等)及其掺杂体系的单晶样品。通过对其磁性和磁电效应等进行深入研究发现,该体系的磁学性能因稀土元素R的变化存在很大差异,但在低温下都具有较强的本征磁电耦合效应。(1)GdCrO3单晶:在该单晶中观测到了两个连续的温度诱导的磁矩翻转现象,还发现了温度诱导的磁矩不连续跳跃的新现象。这些磁现象与GdCrO3单晶材料中Gd-Cr自旋相互作用有密切关联。此外,在低温下该单晶表现出极大的磁热效应,其数值高达~242 mJ cm-3 K-1,远大于其它稀土合金(如,HoCoAl等)以及Gd基石榴石Gd3Ga5–xFexO12 等同温区的磁热材料。相关结果发表在Journal of Applied Physics上。(2)TbCrO3、ErCrO3及DyCrO3单晶:TbCrO3和ErCrO3单晶在低温下都表现出磁场诱导的磁矩跳跃现象;ErCrO3单晶在低温下还具有非常大的旋转磁热效应;DyCrO3及ErCrO3单晶在低温下表现出Cr离子及稀土离子的自旋重取向行为。这些现象都属首次报道。相关结果发表在Journal of Materials Chemistry C上。

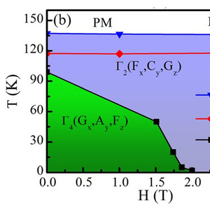
通过对RCrO3体系Cr位进行磁性元素替代,可以引入新的磁相互作用,进而改变其磁性基态并获得一些新的磁、电等性质。基于该思路,科研人员生长出了Fe掺杂YCr1-xFexO3(x=0.12)单晶样品,研究发现该样品由于Fe/Cr之间的无序占位以及较强的Fe-Cr磁相互作用,使得其表现出不同于YCrO3和YFeO3母体样品的磁场及温度诱导的自旋重取向等磁行为。相关工作发表在Applied Physics Letters上。

该工作得到国家自然科学基金,中科院前沿科学重点研究项目的资助。 

 文章链接:1 2 3 4 5 

  

图1.YCr0.88Fe0.12O3单晶的“温度-磁场”相图 

  

图2.GdFe0.5Cr0.5O3多晶中巨磁热效应 

  

图3.TbCrO3单晶中磁场诱导的磁矩跳跃现象(左图)及DyCrO3单晶中的磁电效应(右图) 

加载中...