物理所首次观测到有能隙的自旋子
中国科学院网站
量子自旋液体是凝聚态物理学家追寻已久的新奇物质形态。它由诺贝尔奖得主P. W. Anderson在70年代首次提出,80年代末被用来尝试解释当时刚发现的高温超导现象。传统的物质形态可以用能带理论和对称性自发破缺理论来描述,而自旋液体作为没有对称性破缺的量子物质形态需要用新的理论框架来描述。这个新框架下的重要概念是拓扑序,它是讨论诸如分数量子霍尔效应以及量子自旋液体的语言。不同的拓扑序体现了自旋液体这类量子多体系统中不同程度的量子纠缠,系统也因此遵从既不同于玻色-爱因斯坦也不同于费米狄拉克形式的分数统计。通过引入载流子,自旋液体材料有可能形成新的非传统超导体。由于拓扑序的稳定性和纠缠性,自旋液体材料还有望成为实现拓扑量子计算的材料基础。
具有 Kagome(笼目)晶格的阻挫磁体材料,是可能实现量子自旋液体的舞台。目前,ZnCu3(OH)6Cl2 (Herbertsimithite)是一种被很多人接受的Kagome晶格量子自旋液体材料。为了探索更多新型的量子自旋液体,人们不断寻找新的kagome晶格自旋体系化合物。通过第一原理计算,刘峥、邹小龙、梅佳伟和刘锋等人预言了一种新的Kagome晶格阻挫磁体材料Cu3Zn(OH)6FBr (Phys. Rev. B 92, 220102 (2015))。这个材料与Herbertsmithite类似,都有二维kagome铜平面。但是,Cu3Zn(OH)6FBr具有相对简单的晶体结构(比如,herbertsmithite的二维kagome铜平面是ABC叠积,而Cu3Zn(OH)6FBr却是AA叠积的),给实验测量带来的干扰因素较少。
最近,中国科学院物理研究所/北京凝聚态物理国家实验室(筹)EX01组研究生冯子力、研究员石友国成功合成了Cu3Zn(OH)6FBr。物理所郑国庆研究组(SC09组)副研究员李政展开了核磁共振研究。这项工作是一个理论和实验通力合作的典型例子:南方科技大学助理教授梅佳伟、物理所SC08组研究员李世亮、T03组副研究员孟子杨,复旦大学教授李世燕以及清华大学副研究员刘峥参加组成了研究团队。研究团队发现,该材料具有与Herbertsimithite相似量级的强反铁磁相互作用(J~17 meV),然而极低温下(50mk)热力学测量没有观测到任何磁性长程序形成,表明Cu3Zn(OH)6FBr是Kagome晶格量子自旋液体的新的代表性系统。通过19F的NMR测量,研究团队确定了有能隙的1/2自旋的自旋子激发。如图1所示,Cu3Zn(OH)6FBr为层状的Kagome晶格,Kagome面由自旋1/2的Cu原子构成,系统可以理解为具有反铁磁相互作用的阻挫Kagome晶格模型。磁化率、比热等热力学测量显示,在50mK时,系统仍然没有磁性。
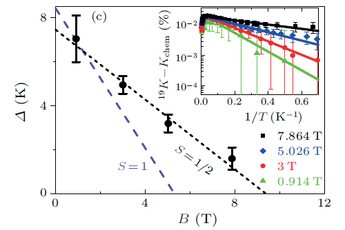
由于Cu3Zn(OH)6FBr中的19F原子核具有1/2自旋,如图2所示核磁共振谱只有一个峰。因此信号不会受到电场梯度的影响,能够更本质地反映磁性信息。而以往研究的Herbertsmithite材料中的原子核自旋大于1/2从而受到电场梯度影响,出现多个共振峰,干扰对磁性的研究。因此,虽然在Herbertsmithite材料中观测到了自旋能隙,但无法分辨自旋激发是自旋1/2还是整数自旋。与此相反,Cu3Zn(OH)6FBr的独特性质为验证自旋激发提供了绝好机会。实验结果显示,在零磁场时,系统具有~7 K 的自旋能隙;如果把系统放置在磁场中,这个自旋能隙会随着磁场的增大而减小。而能隙随磁场变化的斜率恰恰反映了系统中磁性元激发的自旋量子数。对于常规的磁性材料,其元激发是自旋为1的磁振子(magnon)。而图2中的数据清晰地显示,在Cu3Zn(OH)6FBr中,系统的元激发是自旋1/2的,即带有分数化自旋的自旋子(spinon)。
有能隙的量子自旋液体,并且具有1/2自旋的spinon元激发,是Z2类型(即Toric code)拓扑序的量子自旋液体的确定性信号。这是在具体材料中观察到Z2拓扑序量子自旋液体的第一个确定性例子。这项成果一经发表,便受到了国际同行的广泛关注,Herbertsmithite的合成人、斯坦福大学教授Young Lee反复在各个重要学术会议中进行介绍。拓扑序理论的创始人、麻省理工学院教授文小刚也应邀为这项成果专门撰文评价(Chin. Phys. Lett. 34 (9) (2017))。对于这项工作的重要性,文小刚认为,正如在量子分数霍尔效应中直接观测到分数化的电荷,直接观测到电中性且具有分数化自旋1/2的激发,是十分令人振奋的结果。
研究团队对于Cu3Zn(OH)6FBr的后续实验观测和理论计算,正在逐步深入下去。
这项工作得到了科技部、国家自然科学基金委、中科院战略性先导科技专项等的资助。
文章链接

图1:(a)Cu3Zn(OH)6FBr侧视图,层间的Cu原子被无磁性的Zn原子所替代,隔出层状的Kagome Cu原子二维晶格。(b)Cu3Zn(OH)6FBr 俯视图,层状Kagome晶格清晰可见。在六边形的中心,可以F原子,不同于 Herbertsmithite,在 Cu3Zn(OH)6FBr中,由于F原子的核磁共振信号灵敏度高,Kagome面内的自旋能隙可以被探测到。

图2:通过核磁共振奈特位移的测量,得到的Cu3Zn(OH)6FBr中自旋能隙随着外磁场的变化,其变化的斜率,反映了系统磁性元激发的自旋量子数。